I. 서 론
1. 연구의 배경 및 목적
우리나라 노숙인은 급진적 산업화로 인해 생겨난 대표적인 사회취약계층의 한 유형으로서, 1990년대 경제위기 속에서 급격히 증가하였다. 한국에서 지원주택이 국가 정책으로 보급되기까지 서울에서 선도적으로 실험적인 시범사업이 실행되었는데, 이는 미래 발전을 위한 초석이 되고 있다. 지원주택은 무엇보다 과거 시설의 수용 개념이 아닌 일반적인 주택으로 거주장소의 전환을 의미하므로 ‘주택계획영역’의 확장이기도 하며, 서비스가 필요한 특수집단의 주택이므로 일반주택과 달리 맞춤형 시각이 중요하고, 나아가 취약계층도 다양하여 더욱 세부적인 맞춤형 계획으로 발전할 필요가 있다. 그러므로 노숙인 지원주택은 특수한 인구집단을 대상으로 하고 지원주택은 수요자 맞춤형 지원을 전제하기 때문에 지원주택 발전을 위해서 해당 거주자들에 대한 다양한 지식정보를 축적할 필요가 있다. 또한 노숙인이라 하여도 이들은 하나의 동질적 집단이 아니며, 다양한 세부 집단들로 나뉘질 수 있으리라 여겨지며, 지원주택은 이러한 세부 집단의 요구에 부합하는 계획으로 발전하리라 전망된다.
서포티브주택은 홈리스의 복지와 지역사회 복귀를 위해 미국에서 선도해 온 주택 유형이다. 미국의 경우 알콜의존, 약물중독, 정신질환 등 제반 사회문제를 수반하는 홈리스를 위해 오랫동안 노력해 왔는데, 무엇보다 주거 안정화가 중요하다는 인식으로 선주거지원 정책을 탄생시키고 서포티브주택을 우선 공급함으로써 정착하게 한 후 이들을 점진적으로 치유하여 지역사회에서 거주할 수 있게 하는 전략을 펼치고 있다. 이러한 노력의 결과 미국에서는 그 효용성을 인식하여 지원주택을 ‘약’으로 여기고 있다(Corporation for Supportive Housing, 2014).1) 즉, 의료조치처럼 주택을 효과적인 치유자원으로 여기게 되었다.
Lee(2017)는 지원주택2)을 ‘약’으로 인식한다면, 약에는 처방이 중요하듯이 건축계획 기술의 발전이 중요하다고 하였다. 즉, 주택계획은 거주자의 삶에 큰 영향을 미칠 것인 바, 보다 긍정적인 영향을 줄 수 있도록 건축계획 기술을 향상시킬 필요가 있다. 이를 위해 공간 사용자들의 환경적 성향을 파악할 필요가 있는데, 환경적 성향은 개인이 환경에 대해 반응하는 일련의 지속적인 성향으로 사용자를 이해할 수 있는 기초학문으로서 뿐만 아니라 계획 및 디자인을 위한 응용학문으로서 가치가 있다(Lee, 1998). 지원주택이 더욱 효과적이기 위해서 일반주택 거주자를 이해하기 위해 수많은 분석적 연구들을 거쳐 주택을 발전시키듯이 노숙인의 삶을 통찰력 있게 이해함으로써 그들을 위한 맞춤형 계획이 성숙될 필요가 있다.
본 연구의 목적은 탈노숙인 지원주택 거주자의 환경적 성향을 파악하는 것이다. 보다 구체적으로는 한국 최초의 민간 지원주택 사례의 거주자들에게서 보여지는 성향을 탐구하는 것이다. 또한 공간환경을 사용하는 방법으로 거주자의 생활재 점유(비움형/채움형)와 질서(정리형/혼잡형) 영역적 행동과, 공적공간과 개별공간 사용패턴에 대한 상호작용(교류형/은둔형)과 허용(개방형/폐쇄형)로서 프라이버시 행동을 포함하는 환경적 성향을 분석하고자 한다. 본 연구는 탈노숙인 맞춤형 주택을 정교하게 발전시키고 특히 일방적으로 공급을 받던 취약계층을 수요자 지향적으로 이해함으로써 미래 주택계획을 발전시키리라 기대된다.
II. 문헌고찰
1. 한국의 노숙인 복지정책과 지원주택
우리사회에서 노숙인문제가 화두가 된 것은 1990년대 후반 경제위기 이후인데, 당시 기존 부랑인복지시설 외에 노숙인을 위한 응급쉼터가 출범하였다. 2000년대에 들어서 노숙인상담보호센터가 본격적인 활동을 하면서 거리노숙인 지원체계가 안정을 이루었다. 2004년에는 사회복지법 개정과 부랑인 및 노숙인 보호시설 설치 운영규칙의 정비로 법적 제도화를 이루었으며, 2012년 제정된 ‘노숙인 등의 복지 및 자립지원에 관한 법률’은 노숙인 인권보호와 사회복귀 및 복지증진을 이루는 계기가 되었다. 2013년에는 ‘노숙인 복지 및 자립지원 종합계획’이 수립되고 전국 실태조사가 진행되어 그 대책이 발표되었고, 노숙인종합지원센터와 노숙인시설(일시보호시설, 자활시설, 재활시설, 요양시설 등)로 시설체계 재편이 이루어졌다(Korea Ministry of Health and Welfare, 2012; 2013). 그러나 우리나라에 조성된 노숙인 생활시설들은 열악한 환경으로 인해 문제점이 드러나기도 하였다.3) 근래 노숙인 지원은 시설에서 주택으로 그 패러다임이 전환하였는데, 2014년 LH임대주택을 거점으로 활용하여 노숙인 지원서비스를 제공하는 이른바 지원주택4)인 행복하우스와 성지하우스가 최초로 출범하였다. 2016년에는 서울시 SH매입 임대주택을 활용하는 ‘지원주택 시범사업’이 시작된 이래 2018년에 서울특별시 ‘지원주택 공급 및 운영에 관한 조례’가 제정되어 주거취약자의 주거안정을 위해 지원주택 관련 사항을 규정하고 있다(Seoul Metropolitan City, 2018).
한편, 최근 중앙정부의 지역사회통합돌봄 정책은 취약계층들이 심리치유 및 역량강화를 통해 지역사회에서 자립적으로 살아갈 수 있는 모델을 마련하고자 시설 노숙인을 대상으로 자립체험주택5)과 거리 노숙인을 대상으로 케어안심주택6) 운영을 계획하고 있다(Korea Ministry of Health and Welfare, 2019). 개별 주거뿐만 아니라 사회취약계층을 위한 생계급여, 신용회복, 일자리 연계, 정신건강 서비스 등을 지원하는 지원주택은 보건복지부가 주관하고 국토교통부가 협력함으로써 발전하고 있다.7) 정부에서 시설환경을 지양하고 주택을 자원으로 인식하여 노숙인 문제를 해결하는 치유요소로 활용하고자 하는 것은 상당히 고무적이다. 그러나 주택이 하나의 소극적인 요소가 아니라 맞춤형으로 잘 계획되어 제공됨으로써 핵심요소가 될 때, 지원주택의 효과는 더욱 커질 것이다.
한국의 지원주택은 정책적으로 매입임대주택을 활용하는 사례가 많은데, 이는 건설과 공급위주의 개발로 노숙인을 위해 계획된 주택이 아니라 대개 유휴 건물을 활용하여 건설환경 측면에서 가능성에 한계가 있다. 지원주택계획기술 발전을 위해 그 기초정보로서 다양한 노숙인 생활행태에 대한 이해와 통찰력을 제공하는 연구가 수행될 필요가 있다. 이제 노숙인이라는 특수집단 거주자를 위한 주택이 시작된 만큼 환경심리행태연구로서 개인과 환경의 상호작용에서 나타나는 일련의 탈노숙인 거주자의 환경적 성향에 대한 지식정보가 누적되어 지원주택이 발전하는데 통찰력을 제공해야 할 시점이다.
2. 한국 노숙인의 특성
Korea Institute for Health and Social Affairs (2017) 실태조사 결과에 의하면 전국 노숙인은 11,340명으로 이들 중 미취업자는 64%이고, 근로능력이 없는 사람이 76.2%에 달한다. 전체 노숙인 중 남성이 73.5%, 여성은 25.8%이다. 연령대로는 생활시설노숙인 중 50대가 33.5%로 가장 많았으며, 65세 이상 고령자는 24.1%, 20세 이상 39세 이하 청년비율이 7.7%이다. 노숙의 결정적 계기는 대분류로 ‘개인적 부적응 또는 사고(54.2%)’가 가장 큰 원인이었으며, 다음으로 ‘경제적 결핍(33.4%)’, ‘사회적 서비스 또는 지지망 부족(6.4%)’ 순이었다. 세부적 분류의 원인으로는 질병 및 장애(정신질환) 25.6%, 이혼 및 가족해체 15.3%, 실직 13.9%, 알코올 중독 8.1% 등의 순이었다. 전반적으로 노숙인 인구는 다양한 특성을 지니면서 성별은 남성이, 연령대는 중고령자가 압도적이다. 이러한 다양한 배경과 더불어 심각한 문제증상 그리고 이들 간의 복합적 상황은 일반적인 주택계획을 위해 다양한 사회인구학적 배경을 연구하는 것보다 더 심층적으로 연구를 필요로 한다는 것을 의미하고 있다. 그러나 현실적으로는 모순되게도 사회취약계층은 그 수가 적다는 점에서 간과되어 왔으므로 개인 인권이 중시되는 사회발전과 더불어 이들에 대한 주택계획에 다양한 변수들이 반영되는 방향으로 발전해야 할 것이다.
3. 환경적 성향
인간과 환경의 관계를 연구하는 환경심리학(Environmental Psychology)에서는 환경적 성향(Environmental Disposition)을 주요 부문으로 포함하고 있는데(Ittleson et al., 1974; Mckechnie, 1977; Kaplan, 1977; Bell et al., 1990; Lee, 1998), 환경적 성향은 사용자가 환경에 반응하는 생활양식이나 경향을 그려내는 것으로서 환경인성학(Environmental Personolosy)에서 발전되어왔다(Lee, 1998). 환경적 성향은 자연이나 건조환경 등 인간을 둘러싸고 있는 환경 속성에 반응하는 개인에 내재한 특질로서, 물리적 환경과 관계를 가지는 인간을 나타내고 지각됨으로써 의미있는 속성을 지닌다(Lee, 1998). Mckechnie(1977)는 환경을 접하는 인간이 추구하는 행위를 구분할 수 있게 하는 기준 개념을 환경반응목록(Environmental Response Inventory)으로 개발하였다. 이 환경적 성향 측정도구는 목가주의(Pastoralism), 도시주의(Urbanism), 환경적응(Environmental Adaptation), 자극추구(Stimulus Seeking), 환경신뢰(Environmental Trust), 과거선호(Antiquarianism), 프라이버시 요구(Need for Privacy), 기계지향(Mechanical Orientation)의 8개 하위성향 척도로 구성되어 있다. Kaplan(1977)은 환경 선호에 있어서 개인적 차이가 있다는 전제로 환경 선호측정도구(Environmental Preference Questionnaire)를 개발하였는데, 이는 자연적(Natural), 낭만적 탈출(Romantic Escape), 현대적 개발(Modern Development), 교외(Suburbs), 사회적(Social), 스트레스에 수동적 반응(Passive Reaction to Stress), 도시(City) 등의 성향 척도로 구성되어 있다. 이러한 선행연구와 이론은 포괄적 환경에 개인이 반응하는 관계를 체계화하였다는데 의미가 있으며, 개인의 성향을 이해하는 폭을 넓히고, 건축공간을 개발설계디자인할 때 기본적인 통찰력과 방향을 제시한다. 환경적 성향은 거시적 미시적 차원 그리고 포괄적 구체적으로 다루어질 수 있으나 선행연구들을 주로 거시적 포괄적 차원으로 접근해왔다. 영역성과 프라이버시는 환경심리행태학의 주요 개념으로 다양한 환경차원에서 다루어져 왔다.
2. 영역성(Territoriality)과 프라이버시(Privacy)
영역성은 점유와 개인화 및 방어를 의미한다(Sommer. 1969). 영역은 개인 혹은 집단이 소유하는 장소나 지리적인 지역에 대한 소유권 혹은 점유와 관련된 행태이며, 침범에 대한 방어와 개인화를 포함한다(Lim, 2007) 인간의 영역성은 한정된 공간으로 장소에 대한 심리적 식별성을 포함하며, 인간에게 귀속감을 느끼게 함으로써 심리적 안정감을 주며, 외부와 사회적 상호작용에 있어 구심적 역할을 한다(Lim, 2007). Altman(1975)은 영역을 통제와 점유기간, 인지정도에 따라 분류하였다. 1차 영역(Primary Territory)은 일상생활의 중심이 되는 공간으로 점유시간이긴 주택, 사무실 등 프라이버시가 요구되는 공간이다. 2차 영역(Secondary Territory)은 1차 영역보다 배타성이 낮고 사회적 교류가 이루어지는 특정 집단에 의해 점유되는 공간으로 1차 영역과 공공 영역 사이의 매개역할을 하는데 그 예로는 교실, 식당, 교회 등이 있다. 공공 영역(Public Territory)은 배타성이 매우 낮고 일시적인 점유만이 일어나는 공간으로 영구적 점유가 불가능한 공간이며, 그 예로는 광장, 해변 등이 있다. Newman(1972)은 방어공간 관점에서 영역을 크게 사적영역(private area), 준사적영역(semi-private area), 준공적영역(semi-public area), 공적영역(public area)으로 계층화 하였다. Edney(1976)는 자신의 영역을 가지고 있지 않은 사람은 안주할 곳 없이 끊임없이 떠도는 반면, 다른 사람의 영역 내에 들어온 방문자는 행동의 제약을 받게 된다고 하였다. Ittelson et al. (1974)은 선택의 자유를 누릴 수 있는 방법 중 하나는 특정 공간에서 이루어지는 행위를 통제할 수 있는 능력에 따른다고 하였다. 확실하게 한정된 영역을 차지하고 있을 때 사람은 그곳에서의 행동 유형을 선택할 권리를 갖게 되는데, 그 권리에 의해 사용자는 자신이 하고자 하는 행동에 지장을 주는 장애 요인들을 없애거나 그 공간을 여러 다양한 활동에 적합하도록 조정하게 된다. 영역은 내방, 주방, 거실 등과 같은 약속한 목적을 지닌 지정 장소이다.
프라이버시는 개인공간, 영역성, 과밀 등과 긴밀한 관계가 있다.8)Westin(1966)은 프라이버시의 제차원을 혼자있는 상태(Solitude), 친교의 상태(Intimacy), 익명의 상태(Anonymity), 은폐의 상태(Reserve)로 체계적으로 구분하였는데, 이러한 체계는 프라이버시의 크기와 단위를 제시한다. Altman(1975)에 의하면 프라이버시는 첫째, 개인 또는 집단과 사회 환경과의 상호작용을 조절하고, 둘째, 자아와 사회 간의 상호작용을 조절하며, 셋째, 궁극적으로 자아정체감을 갖게 한다. 개인이 원하는 정도의 프라이버시와 프라이버시 조절로 성취한 프라이버시가 일치하면 최적의 상태라고 할 수 있는데, 이러한 조절과정에서 주요 기제는 개인공간과 영역성, 언어적, 비언어적 행동 등을 들 수 있다. 성취한 프라이버시가 원하는 프라이버시보다 높을 경우 사회적 고립이 발생하고, 성취한 프라이버시가 원하는 수준에 미치지 못할 경우에는 과밀이 발생한다. 프라이버시는 이러한 원하는 수준과 실제 수준 간의 차이가 있을 경우 스트레스를 유발하고 이는 적응하려는 행동과 그렇지 못하는 부작용 행동을 낳는다(Ittelson et al., 1974). 영역성과 프라이버시 관련 연구는 주부, 학생, 노인 등을 대상으로 수행되어 왔으나(Kim, 1989; Hur & Yang, 2002; Sung, 2006) 취약계층 대상 연구는 미미하다. 시설과 같이 수용상 제공되는 환경은 개인의 요구보다 공간적 제약이 있고 노숙인과 같은 취약계층은 일반인과 달리 정신적으로 예민하고 방황하는 사람들로 지원주택이 발전하기 위해 이들을 위한 영역성과 프라이버시 연구가 필요하다.
III. 연구방법
본 연구는 전문가를 통한 비관여적 관찰(Unobtrusive Observation) 방법을 활용하였는데, 연구를 위해 현장 전문가9)를 연구팀으로 이입하여 조사하였다. 비관여적 관찰 기록으로 전문가 경험에 근거하는 총 47건의 탈노숙인의 환경적 성향에 대한 자료를 수집하였는데, 현장의 실증자료10)로 2019년 1월 수집되었다. 연구자는 자료를 수집 및 분석하는 과정에서 전문가와 수차례 자료를 반복 확인하여 신뢰성을 확보하였다. 이 47건의 자료는 현재 H하우스에 거주하고 있거나, 자립하여 이주한 사람들을 모두 포함하는데, 이는 거주자 전수에 해당하며, 하나의 집단을 대표하는 샘플이 아닌 모집단이라고 할 수 있다.
1. 연구대상
본 연구의 대상은 서울시 마포구에 위치한 탈노숙인 자립을 위해 2014년 개원한 한국 최초의 지원주택인 ‘H하우스’로 건축개요는 <Table 1>과 같다.
2013년 출범한 ‘종교계 노숙인지원 민관협력 네트워크’는 2014년 ‘노숙인 지원주택’ 시범사업을 선정하였는데, 그 물리적 거점으로 한국토지주택공사(LH)의 임대주택(28호) 건물을 취약계층에게 공급하였다. H하우스 건물은 2개 동으로 이루어져 있는데, 각 동의 1층 필로티는 주차장이며, 2-4층은 거주자 단위세대 공간으로 동일면적의 동일평면계획으로 되어있다. 커뮤니티공간으로는 2개 건물이 연결된 옥상층에 정원이 조성되어 있으며, 각 동 최상 층인 5층은 거주자 거주공간으로 사용하지 않고 필요에 의해 거주자와 직원을 위한 행복카페와 예능카페가 조성되어 있다. 이 공유공간들은 평면과 구조가 동일한 각 동의 기존 5층 단위공간들을 하나의 공간으로 통합하여 그대로 활용한 것으로서 옥상층을 통해 서로 연결되어 있는 특성이 있다(Good People Corporation, 2017).
2. 조사도구
연구자가 개발한 환경적 성향 조사도구는 조사대상자의 사회인구학적 특성과 환경적 성향 두 부분으로 구성된다. 본 연구의 개념적 준거틀은 <Figure 1>과 같다. 탈노숙인 거주자들을 대상으로 그들의 배경에 따라 공간행동이나 계획과 연결하는 선행연구가 없었으므로, 일반인들을 대상으로 하는 연구와 같이 제반 사회인구학적 특성을 독립변인으로 설정하고 특히 거주자에게 민감한 건강과 경제적 특성을 추가하여 분석할 필요가 있다.
먼저 독립변인으로 사회인구학적 특성 부분에서는 개인 특성에 해당하는 성별, 연령, 직업, 고용, 학력과 경제상황에 해당하는 평균 수입/생활비, 소득출처, 건강상태에 해당하는 질병/질환, 그리고 주거상황에 해당하는 공유공간활용, 거주기간을 설정하였다. 다음으로 종속변인으로는 미시적 차원의 환경적 성향에서는 점유(비움형/채움형)과 질서(정리형/혼잡형)를 내포한 영역성 개념과 상호작용(교류형/은둔형)과 허용(개방형/폐쇄형)을 내포한 프라이버시 개념을 구분하여 설정하였는데, 이러한 환경적 성향은 Likert’s Scale(7점)를 활용하여 측정하였다. 환경적 성향 측정도구의 개념과 그 조작적 정의는 <Table 2>와 같다.
Table 2.
Concept of environmental disposition
| Concept | ED* | Operational Definition | |
|---|---|---|---|
| Territoriality | |||
| Order | |||
| ↓ Messy | Space is messy without commodities in order | ||
| Privacy | |||
| Permission | |||
| ↓ Closed | Closed to others to come in personal space | ||
치유와 적응이 필요한 사회취약계층에게 지원주택을 제공할 때, 일반 주택과 같이 가장 기본이 되는 주거의 개념인 영역성과 프라이버시가 잘 지켜질 수 있도록 인간적으로 배려하는 것이 필요하다. 특히 방랑생활에 안정감을 제공하기 위한 취지이므로 영역성과 프라이버시는 1차적으로 배려되어야 하는 개념이다. 본 연구에서는 환경행태적 개념상 특정 환경에서 적응하는 성향을 보기 위해 구체적으로 미시적 관점에서 주택 내에서 보여지는 영역성과 프라이버시 관련 특성을 분석하고자 하였다. 주거영역은 개인에게 점유되고 그 영역에서 질서체계가 구축된다. 영역성으로 공간을 생활재로 채우는가 혹은 비워두는가에 대한 점유의 개념, 그리고 이러한 생활재를 잘 정리하는가 혹은 혼잡하게 방치하는가에 대한 질서의 개념을 설정하였다. 한편, 프라이버시는 거주자와 이웃 간의 상호작용을 통해 드러나며, 조절을 위해 거주자가 이웃과 교류하는가 혹은 은둔하는가에 대한 관계패턴, 개인공간에 초대하는가 혹은 폐쇄하는가에 대한 허용의 개념을 설정하였다.
2. 분석방법
본 연구에서 47건의 자료는 샘플이 아닌 모집단으로서 표본을 통해 일반화 하는 추론적인 연구가 아니기 때문에 유의성 검증을 하지 않고 원 자료 분포의 특성에 대한 기술로서 분석하고자 하였다. 이에 따라 탈노숙인 거주자의 사회인구학적 특성과 환경적 성향에 대해 빈도분석과 교차분석을 진행하였다. 교차분석의 경우 자료의 수가 적음을 고려하여 환경적 성향이 명확히 드러나도록 리코딩 하여 분석하였는데, 환경적 성향 중 Likert’s Scale(7점)에서 중간값(4점)을 제외하고 환경적 성향을 1-3점(↓)과 5-7점(↑)으로 분별(Differentiation)하였다.11)
IV. 분석결과
1. H하우스 거주자의 사회인구학적 특성
조사대상 거주자의 사회인구학적 특성은 <Table 3>과 같다. H하우스 거주자들은 성별로는 남성(87.2%)이 여성(12.8%)보다 많았다. 연령대는 40대(40.4%), 50대 이상(38.3%), 30대 이하(21.3%) 순으로 나타났는데, 연령대가 다양하고 거주자 대부분이 생산연령인구(14-64세)에 속한다. 거주자의 직업은 단순노무직(31.1%), 서비스판매직(24.4%), 무직(22.2%), 전문관리직(15.6%), 그리고 기술직(6.7%)의 순으로 많았는데 다양한 직업을 가지고 있었다. 고용상태의 경우 정규직 혹은 계약직으로 일하는 거주자가 71.1%로 가끔 일하거나 실업상태의 거주자 28.9%보다 압도적으로 많아 생산인구로서의 사회활동참여 상황을 보여주었다. 거주자의 학력은 고졸(53.3%), 중졸 이하(26.7%) 그리고 전문대 이상(20%)의 비율로 학력수준이 상당히 높은 편이다. 거주자 월평균 소득의 경우 150-250만원(42.2%), 90만원 이하(31.1%), 100-140만원(26.7%) 순으로 나타났다. 평균 생활비의 경우 90만원 이하가 67.4%, 91-200만원이 32.6%이었다. 거주자의 전반적 건강의 경우 ‘보통’에서 ‘매우건강’의 긍정적인 비율이 66%로 ‘나쁨’에서 ‘매우나쁨’의 부정적인 비율 34%보다 훨씬 높았다. 그러나 건강하다 해도 불안, 우울, 조현병 등 정신질환이 있는 사람이 총 37명(78.7%)과 알콜의존이 있는 사람이 9명(19%%) 등 대부분 질병 및 질환이 있었다. 알콜의존, 정신질환, 신체질환 중 2가지 이상의 질환을 지니고 있는 사람은 36.2%, 3가지 이상의 질환으로 증세가 심각한 사람은 4.3%였다. 심혈관계 질환, 디스크, 청각장애 등 신체질환만을 혹은 알콜의존만을 지닌 사람은 6.4%였다.
Table 3.
Socio-demographic characteristics
(n=47)
조사대상자의 공유공간활용의 경우 ‘가끔 이용한다(31.9%)’와 ‘자주 이용한다(27.7)’가 총 59.6%로 대부분의 거주자들이 커뮤니티공간을 잘 활용하고 있었다. 거지원주택 거주기간은 13-24개월이 44.7%, 25개월 이상이 34% 그리고 12개월 이하가 21.3%이었는데, 초기에 지원주택이 개소하였을 때 입주한 사람들이 지속적으로 거주하고 있었으며, 이중 몇몇은 사회 적응을 통해 자립한 사람들도 있었다.12) H하우스 거주자들은 연령대, 수입구조, 직업 등 인구학적 특성이 상당히 다양한데, 현재 소득수준이나 건강상태로 볼 때, 완전히 의존적이지 않고 경제적인 능력이 있으며, 신체적이기 보다 정신적으로 문제가 있다. 이러한 특성은 거주자들 간의 상호작용이 예민할 수 있음을 예측하게 한다. 우리나라 노숙인은 산업사회의 부작용으로 인해 경제적 곤란, 가족관계 붕괴 등으로 정신적 충격을 받은 사람들이 많은 것으로 추정된다.13) 독립변인들 간의 상관관계를 파악하기 위하여 H하우스 거주자의 사회인구학적 특성 중 고정적 특성(성별, 연령, 학력)과 유동적 상황(경제, 공간사용, 건강)를 교차분석 하였다<Table 4>.
Table 4.
Socio-demographic background
(n=47)
교차분석 결과, 성별, 연령, 학력에 따른 경제상황, 공간사용상황, 건강상황이 파악되었는데, H하우스 거주자중 성별이 남성인 경우 경제상황이 상대적으로 더 안정적이고 주거상황이 좋지만 정신질환이 있었다. 여성인 경우 경제상황이 불안정하고 정신질환이 있지만 주거상황이 좋았다. 거주자 연령에 따라서는 경제상황, 공간사용행태, 건강상태에서 큰 차이가 없었다. 학력의 경우 저학력은 경제상황이 좋지만 공유공간 활용이 적고 정신질환이 있었다. 고학력은 경제상황이 좋지 않지만 주거상황이 좋고 정신질환이 있었다.
2. H하우스 거주자의 환경적 성향
환경적 성향 분포는 <Figure 2>와 같이 한쪽에 치우쳐 있지 않고 다양한 분포를 나타낸다. 거주자의 환경적 성향의 빈도는 <Table 5>과 같다. 환경적 성향 평균은 전반적으로 보통 수준을 유지하였는데, 질서(4.62±2.17), 상호작용(4.04±2.18), 허용(4.00±2.04), 점유(3.89±1.98) 순으로 평균값이 높았다. 이렇게 표준편차의 범위가 상당히 넓은 것은 평균을 이해하기보다 그 분포특성을 이해하는 것이 바람직함을 보여준다.
Table 5.
Environmental disposition frequency
(n=47)
| Very Strong (7) | Strong (6) | Little Strong (5) | Medium (4) | Little Strong (3) | Strong (2) | Very Strong (1) | |||||||||
|---|---|---|---|---|---|---|---|---|---|---|---|---|---|---|---|
| f | (%) | f | (%) | f | (%) | f | (%) | f | (%) | f | (%) | f | (%) | ||
| Access (Open) | 5 | (10.6) | 12 | (25.5) | 4 | (8.5) | 3 | (6.4) | 9 | (19.1) | 8 | (17.0) | 6 | (12.8) | Access (Closed) |
거주자 사회인구학적 특성 변인에 따라 환경적 성향을 교차분석 하였으며, 독립변인의 경우 크게 개인특성(성별, 연령, 학력), 경제상황(고용, 수입, 생활비, 소득출처), 건강상태(정신질환, 알콜질환 유무), 주거상황(공유공간 활용정도, 거주기간)의 네가지 특성으로 구분하였다. 교차분석결과의 경우 분석결과가 기대비율보다 20%이상 크면 ‘매우 높음’으로, 5%정도 크면 ‘조금 높음’으로 해석하였으며, 5%이하는 언급하지 않았다. 분석결과를 환경적 성향에 따라 정리하면 다음 같다.
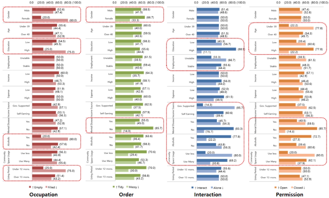
거주자 특성에 따른 점유(비움형/채움형)에 관한 교차분석 결과는 <Table 6>과 같다.14) 첫째, 개인특성의 경우 성별에서 남성은 비움형이 52.6%, 여성은 채움형이 80%로 각각 기대비율인 48.8%, 51.2% 보다 매우 높게 나타났다. 연령에서 39세 이하의 경우 비움형이 55.6%, 40세 이상의 경우 채움형이 70%로 각각의 기대비율인 48.8%, 51.2% 보다 매우 높게 나타났다. 학력에서 저학력의 경우 비움형이 54.5%, 고학력의 경우 채움형이 75%로 각각의 기대비율인 48.8, 51.2% 보다 매우 높게 나타났다. 둘째, 경제상황의 경우 수입에서 수입이 적은 경우 비움형이 60%, 수입이 많은 경우 채움형이 53.3%로 각각의 기대비율인 50%, 52.5% 보다 조금 높게 나타났다. 셋째, 건강상태의 경우 알콜의존에서 알콜의존이 있는 경우 채움형이 80%, 알콜의존이 없는 경우 비움형이 57.6%로 각각의 기대비율인 51.2, 48.8% 보다 매우 높게 나타났다. 넷째, 주거상황의 경우 공유공간 활용에서 공유공간을 적게 활용하는 경우 비움형이 56.3%, 공유공간을 많이 활용하는 경우 채움형이 55.6%로 각각의 기대비율인 48.8, 51.2% 보다 조금 높게 나타났다. 거주기간에서 12개월 이하로 비교적 짧은 경우 채움형이 75%, 13개월 이상으로 긴 경우 비움형이 51.4%로 각각의 기대비율인 48.9, 46.7% 보다 매우 높게 나타났다.
Table 6.
ED* (Occupation) according to background
거주자 특성에 따른 질서(정리형/혼잡형)에 관한 교차분석 결과는 <Table 7>과 같다.15) 첫째, 개인특성의 경우 성별에서는 남성은 혼잡형이 41.5%, 여성은 정리형이 66.7%로 각각의 기대비울인 40.4, 59.6%보다 조금 높게 나타났다. 둘째, 경제상황의 경우 소득출처에서는 국가/기관의 보조를 받는 경우 정리형이 62.5%, 본인 근로소득인 경우 혼잡형이 42.1%로 각각의 기대비율인 58.7, 41.3% 보다 조금 높게 나타났다. 셋째, 건강상태의 경우 정신질환에서는 정신질환이 있는 경우 혼잡형이 45%, 정신질환이 없는 경우 정리형이 85.7%로 각각의 기대비율인 40.4, 59.6% 보다 높게 나타났다. 넷째, 주거상황의 경우 공유공간 활용에서는 공유공간을 적게 활용하는 경우 정리형이 70.6%, 공유공간을 많이 활용하는 경우 혼잡형이 46.7%로 각각의 기대비율인 59.6, 40.4% 보다 매우 높게 나타났다. 거주기간에서는 12개월 이하로 비교적 짧은 경우 정리형이 70%, 13개월 이상으로 긴 경우 혼잡형이 43.2%로 각각의 기대비율인 59.6, 40.4% 보다 매우 높게 나타났다. 거주자 특성에 따른 상호작용(교류형/은둔형)에 관한 교차분석 결과는 <Table 8>와 같다.
Table 7.
ED* (Order) according to background
Table 8.
ED* (Interaction) according to background
첫째, 개인특성의 경우 학력에서는 저학력의 경우 은둔형이 56.7%, 고학력의 경우 교류형이 88.9%로 각각의 기대비율인 46.2, 53.8% 보다 매우 높게 나타났다. 둘째, 경제상황의 경우 고용에서는 가끔 일하거나 무직인 ‘불안정’의 경우 은둔형이 66.7%, 정규직 혹은 계약직으로 일하는 ‘안정’의 경우 교류형이 55.6%로 각각의 기대비율인 51.3, 48.7% 보다 높게 나타났다. 생활비에서는 생활비가 적은 경우 은둔형이 48%, 생활비가 많은 경우 교류형이 61.5%로 각각의 기대비율인 44.7, 55.3% 보다 조금 높게 나타났다. 소득출처에서는 국가/기관의 보조를 받는 경우 은둔형이 55.7%, 본인 근로소득인 경우 교류형이 60.6%로 각각의 기대비율인 47.5, 52.5% 보다 높게 나타났다.
셋째, 건강상태의 경우 정신질환에서는 정신질환이 있는 경우 은둔형이 55.3%, 정신질환이 없는 경우 교류형이 83.3%로 각각의 기대비율인 48.8, 51.2% 보다 매우 높게 나타났다. 알콜의존에서는 알콜의존이 있는 경우 교류형이 77.8%, 알콜의존이 없는 경우 은둔형이 56.3%로 각각의 기대비율인 51.2, 48.8% 보다 매우 높게 나타났다. 넷째, 공간활용 행태의 경우 공유공간 활용에서는 공유공간을 적게 활용하는 경우 은둔형이 80%, 공유공간을 많이 활용하는 경우 교류형이 69.2%로 각각의 기대비율인 48.8, 51.2% 보다 매우 높게 나타났다.
거주자 특성에 따른 허용(개방형/폐쇄형)에 관한 교차분석 결과는 <Table 9>과 같다.
Table 9.
ED* (Permission) according to background
첫째, 개인특성의 경우 연령에서는 39세 이하의 경우 폐쇄형이 77.8%, 40세 이상의 경우 개방형이 54.3%로 각각의 기대비율인 52.3, 47.7% 보다 매우 높게 나타났다. 학력에서는 저학력의 경우 폐쇄형이 60.6%, 고학력의 경우 개방형이 77.8%로 각각의 기대비율인 52.4, 47.6% 보다 매우 높게 나타났다. 둘째, 경제상황의 경우 고용에서 가끔 일하거나 무직인 ‘불안정’의 경우 폐쇄형이 61.5%, 정규직 혹은 계약직으로 일하는 ‘안정’의 경우 개방형이 48.3%로 각각의 기대비율인 54.8, 45.2% 보다 높게 나타났다. 셋째, 건강상태의 경우 정신질환에서는 정신질환이 있는 경우 폐쇄형이 59.5%, 정신질환이 없는 경우 개방형이 85.7%로 각각의 기대비율인 52.3, 47.7% 보다 매우 높게 나타났다. 알콜의존에서는 알콜의존이 있는 경우 개방형이 72.7%, 알콜의존이 없는 경우 폐쇄형이 60.6%로 각각의 기대비율인 47.7, 52.3% 보다 매우 높게 나타났다. 넷째, 공간활용 행태의 경우 공유공간 활용에서는 공유공간을 적게 활용하는 경우 폐쇄형이 80%, 공유공간을 많이 활용하는 경우 개방형이 62.1%로 각각의 기대비율인 52.3, 47.7% 보다 매우 높게 나타났다.
H하우스 거주자의 사회인구학적 특성에 따라 영역성의 개념에서 점유와 질서 특성과, 사생활의 개념에서 상호작용과 허용 특성에 대한 다양하고 이질적인 환경적 성향이 나타났다. 환경적 성향 점유(↑비움형/채움형↓), 질서(↑정리형/혼잡형↓), 상호작용(↑교류형/은둔형↓), 허용(↑개방형/폐쇄형↓) 차원에서 전반적으로 학력이 높을 때, 경제상황이 좋을 때, 정신질환이 없을 때, 공간사용행태가 양호할 때, 점수가 높은 긍정적 환경적 성향이 많이 나타났다<Table 10>.
Table 10.
Environmental disposition of H house residents
성별에서는 경제상황이 안정적이고 주거상황이 좋지만 정신질환이 있는 남성의 경우 비움형, 교류형, 폐쇄형 성향이, 경제상황이 불안정하고 정신질환이 있지만 주거상황이 좋은 여성의 경우 채움형, 정리형 성향이 나타났다. 연령에서는 연령이 많고 적음에 따라 경제상황, 주거상황, 건강상태에는 큰 차이가 없지만 연령이 적을수록 비움형, 정리형, 폐쇄형 성향이 나타났으며, 연령이 많을수록 채움형, 교류형, 개방형 성향이 나타났다. 학력에서는 경제상황이 좋지만 공유공간 활용이 적고 정신질환이 있는 저학력의 경우 비움형, 정리형, 은둔형, 폐쇄형 성향이, 경제상황이 좋지 않지만 주거상황이 좋고 정신질환이 있는 고학력의 경우 채움형, 교류형, 개방형 성향이 나타났다.
V. 종합 논의
근본적으로 환경적 성향은 개인적집단적문화적 그리고 미시적거시적 변수에 따라 나타나는 것으로서 탈노숙인지원주택 거주자들의 환경적 성향 중 두드러진 특성을 종합하여<Figure 3>, 네가지 환경적 성향으로 정리해 보면 다음과 같다. 첫째, 개인 생활공간에 생활재를 어느정도 채우는가에 대한 정도인 「점유」차원에서 보았을 때, 남성은 비움형이, 여성은 채움형이 나타났고, 저학력은 비움형이, 고학력은 채움형이 났으며, 정신질환이 있는 경우 채움형이, 없는 경우 비움형이 나타났다. 또한 거주기간이 짧은 경우 채움형이, 긴 경우 비움형이 나타났다. 물건의 소유는 외면적 과시의 목적이기 보다 내면적 정체성의 확립을 위한 것으로16) 영역을 채우는 행위는 필요한 생활재를 확장된 자아(extended self)17)로 여겨 안정을 찾으려는 경향이라고 할 수 있다. 치료가 필요한 저장강박증은 가치판단능력과 의사결정능력의 손상으로 가치평가를 쉽게 내리지 못할 때 발생한다.18) 둘째, 생활공간에서 생활재들을 어느 정도 정리정돈 하는가에 대한 정도인 「질서」차원에서 보았을 때, 남성보다 여성에게서 정리형 성향이 많이 나타났고, 정신질환이 없는 경우 정리형 성향이, 정신질환이 있는 경우보다 높게 나타났다. 주택은 개인의 정체성을 반영할 수 있는데, 정신질환이 있는 경우 거주자가 내면적으로 혼돈을 겪고 있을 가능성이 높아서 혼잡형 성향이 나타난다고 여겨진다. 셋째, 거주자가 타인과 얼마나 교류하는가에 대한 정도인 「상호작용」차원에서 보았을 때, 저학력의 경우 은둔형이, 고학력의 경우 교류형이 나타났고, 고용이 불안정할 때 은둔형이, 안정적일 때 교류형이 나타났으며, 소득출처가 국가/기관보조일 경우 은둔형이, 본인 근로소득일 경우 교류형이 나타났다. 또한 정신질환이 있는 경우 은둔형이, 없는 경우 교류형이 나타났고, 알콜의존이 있는 경우 교류형이, 없는 경우 은둔형이 나타났으며, 공유공간을 적게 활용하는 경우 은둔형이, 많이 활용하는 경우 교류형이 나타났다. 상호작용에 대한 환경적 성향에서 거주자가 고학력일수록, 경제적으로 안정적일 때 교류하는 부분에서 기회가 열려있는 것으로 여겨진다.19) 지원주택 내 공유공간은 사람들 간의 교류가능성과 기회를 높여 상호작용을 도모하는데 효과적이라고 할 수 있다. 하지만 알콜의존이 있는 경우 교류형 성향이 나타난 것은 행동양식에 있어서 내면적 갈등을 해소하기 위한 부정적 특성으로 여겨진다.20) 넷째, 거주자가 타인을 개인공간에 들어오게 하는지 못 들어오게 하는지에 관한 정도인 「허용」차원에서 보았을 때, 학력과 연령이 높을수록 개방형이, 낮을수록 폐쇄형이 나타났다. 정신질환이 있는 경우 폐쇄형이, 없는 경우 개방형이 나타났으며, 알콜의존이 있는 경우 개방형이, 없는 경우 폐쇄형이 나타났다.21) 공유공간을 적게 활용하는 경우 폐쇄형이, 많이 활용하는 경우 개방형이 나타났다. 연령이 낮은 경우 개인 사생활을 중시하는 경향으로 폐쇄형 성향이 나타날 수 있으며, 고용이 불안정할 경우, 생활비가 적을 경우, 국가/기관의 보조를 받는 경우와 같이 경제상황이 어려운 경우에는 수치감, 불안감, 위축 등 부정적 특성으로 인해 폐쇄형 성향이 나타나는 것으로 여겨진다.

Figure 3.
Environmental Disposition on Territoriality (Occupation/Order) and Privacy (Interaction/Permission) of H House Residents
노숙인과 같은 취약계층은 주로 시설에 수용되어 왔고 정상적으로 삶을 안정화시킬 수 없는 상황으로 인하여 영영성에 대한 갈등과 프라이버시 이슈가 부각되어 왔다.22) 개인에게 적절한 영역과 프라이버시가 확보되고 거주자들이 공간환경을 선택적으로 활용할 수 있으며, 사회적응을 위한 서비스가 자연스럽게 지원될 수 있는 유연한 건축계획이 필요하다. 다양한 배경의 거주자들이 생활한다고 가정하였을 때, 수요자 특성에 따라 적절한 규모의 단위공간과 공유공간으로 조성된 <Table 11>의 국외 지원주택 사례들은 선택가능성과 유연성을 보여준다. 주택 규모가 작을 경우 단위세대와 공용 정원만으로 계획될 수 있으며, 단위세대 규모가 클 경우 서비스를 지원하는 다양한 규모의 공유공간이 계획될 수 있다. 또한 단위세대의 수가 많을 경우 단위세대 집단(Cluster)별로 공유공간이 별도로 계획되어 유니트케어(Unit-care) 서비스가 제공될 수도 있다. 층수가 많을 경우 이러한 공유공간은 층별로 계획되거나 접근성이 높은 지상층에 계획될 수 있다.
지원주택 거주자들에게는 개인공간에서의 안정감과 영역에 대한 애착감이 중요하여, 공유공간을 통한 사회교류가 전제되어야 한다. 사회적 교류는 커뮤니티를 증진하는데, 공유공간은 프라이버시 조절을 위한 수단이 될 수 있다. 일례로 일본 쉐어가나자와 서비스고령자주택 공간구성은 공동생활과 개인생활의 갈등 즉, 영역성과 프라이버시 문제를 유연하게 해결한다<Figure 4>. 쉐어가나자와의 평면도를 보면 거주자들은 단위세대로 출입이 가능한 개별 현관이 있고, 공용 현관을 통해 공유공간을 거쳐서 들어올 수 있도록 선택이 가능하다. 이러한 공유공간은 거주자들이 지나가는 통로도 활용되는데 커뮤니티 내 상호작용을 조절하는 매개체 역할을 한다. 즉, 쉐어가나자와 서비스고령자주택은 거주자가 생활하는데 프라이버시와 상호작용에 대한 개인의 선택을 존중한다. 이는 공유공간이 반드시 사용해야 하는 공간이 아니라 개인이 원할 때 사용 가능하도록 계획되어 고독, 소외 문제를 해결하고 교류에 대한 선택적 자유를 준다.23)
VI. 결론 및 제언
본 연구는 지원주택이 공급위주의 차원에서 벗어나 보다 수요자 맞춤형으로 발전할 수 있도록 통찰력을 기르고자 수행되었다. 탈노숙인의 환경적 성향으로 거주자가 공간환경을 사용하는 방법으로서 생활재의 점유(비움형/채움형)와 질서(정리형/혼잡형)라는 영역적 행동과, 자신의 공간과 공유공간에서의 조절유형인 상호작용(교류형/은둔형)과 허용(개방형/폐쇄형)이라는 프라이버시 행동을 분석하였다. 연구결과 탈노숙인의 개인상황, 경제상황, 건강상황, 주거상황에 따라 환경적 성향은 이질적이고 다양하게 나타났는데 이러한 성향에 영향을 미치는 배경도 중요하게 여겨진다. 주거취약계층을 위한 지원주택은 기존 주택을 활용하는 경우 거주자가 해당 환경에 적응하여 생활할 수밖에 없는데, 지원주택이 발전하려면 수요자에 대한 이해 증진과 더불어 다양성을 포용하여 선택가능성과 유연성 있는 건축계획이 필요하다. 탈노숙인의 다양한 특성을 잘 감안한다면 그들의 지역사회 복귀와 적응에 도움이 될 뿐만 아니라 그들을 위한 사회복지서비스를 보다 효율적으로 전달할 수 있을 것이다. H하우스 사례의 경우 건물의 2개 동 최상층을 모두 공유공간으로 조성하였으며, 거주자를 가족처럼 돌보는 관리인의 철학에 따라 사회복지서비스를 거주지에서 제공하여 기존의 획일적 임대주택이라는 물리적 환경을 극복한 사례라고 할 수 있다. 지원주택이 제대로 계획되려면 거주자들의 성향을 사례관리자가 파악하고 점점 더 바람직한 방향으로 상호작용을 열 수 있도록 좀 더 유연하게 배치하거나 필요에 따라서 거주자가 선택 가능하도록 계획할 수 있을 것이다.
주택이 약이라면 건축계획기술은 처방이 되는데, 거주자 특성에 적절한 주거계획이 도모될 수 있도록 본 연구를 진행하였다. H하우스 사례는 지원주택이지만 임대주택이라는 기존 건물을 노숙인에게 제공하는 것이기 때문에 적절한 건물형태는 아니다. 지원주택은 노숙인의 삶을 지역사회에 정착시키고 주거공간을 통한 안정화가 무엇보다 중요한 취지이기 때문에 이것이 제대로 가치와 효과를 발휘하려면 거주자가 어떻게 공간과 상호작용하고 있는가에 대한 부분을 파악하여 가능한 한 이들의 삶이 나아질 수 있는 방향을 계획하는데 참고할 필요가 있다. 그동안 사회취약계층은 간과되어 왔는데, 이렇게 다양한 탈노숙인 거주자의 환경적 성향을 유형화하는 연구가 이어질 필요가 있다. 과거 획일적인 주택계획 및 공급방식에서 사회가 발달하고 인권이 중시됨에 따라 취약계층 유형별로 맞춤형 계획에 대한 관점이 부각되고 있다. 저소득층 생활보호대상자와 달리 개인의 부적응 및 사고에 의해서 노숙인이 된 사람들이 많기 때문에 실로 그 배경이 다양하다. 본 연구는 탈노숙인의 상황과 배경이 다양하고 이질적인 집단이라는 것을 증명하고 보여줌으로써 노숙인에 대한 사안도 유연하게 담아 안을 수 있는 계획에 대한 각성으로 큰 의미가 있다. 일반 임대주택은 획일적일 수 있지만 이제 시작단계인 지원주택은 치유목적이 있기 때문에 이 분야에 통찰력을 지니는 주택건축계획 전문가들이 많이 양성되어야 하고 이러한 연구는 그것을 촉진하는 하나의 지식기반을 제공할 것이라고 생각한다.







