I. 서 론
1. 연구의 배경 및 목적
II. 이론적 고찰
1. 현대 공간 소비 문화와 파인 스테이
2. 숙박 큐레이션 플랫폼과 파인 스테이
III. 연구방법
1. 연구 조사 대상
2. 자료의 수집과 분석
IV. 연구 결과
1. 기본 개요
2. 공간적 특성
3. 디자인적 특성
V. 결 론
I. 서 론
1. 연구의 배경 및 목적
현대인들의 삶의 질 향상과 여가 활용에 대한 관심이 증가하면서, 휴식과 여행에 대한 수요는 지속적으로 높아져 왔다. 이에 관광 및 숙박 산업 전반에서 양적・질적으로 증가하는 요구를 충족시키기 위한 혁신과 새로운 서비스의 개발이 이루어지는 중이다. 이러한 흐름에서 숙박 시설은 단순히 잠을 자는 공간을 제공하는 것이 아닌, 물리적 공간과 다양한 서비스가 결합되어 이용자에게 기억에 남는 경험을 제공하는 총체적 환경으로 이해되고 있다(Pizam & Shani, 2009).
한편, 코로나 19 팬데믹은 이러한 성장 기조를 꺾고 국내 여행을 급감시킨 전례 없는 현상이었으나, 동시에 여행의 방식과 트렌드를 크게 변화시키는 역할을 하기도 하였다. 이와 관련하여 Korea Tourism Organization(2023)는 코로나 이후의 관광 트렌드에 있어 주요 변화 요소로 ‘진정한 휴식을 즐길 수 있는 여행에 대한 니즈의 증가’와 ‘숙박 시설에 대한 높은 기대감’을 지목하고 있다. 이러한 변화는 외부인과의 거리두기와 프라이버시를 확보할 수 있는 물리적 특성을 가지고, 동시에 단순히 잠을 자는 공간이 아니라 공간 자체에서 특별한 경험이 가능한 숙박시설에 대한 수요로 이어진 바 있다(Chang, 2023; Choi et al., 2023).
이렇게 단순한 숙박 제공을 넘어 공간 디자인과 경험적 가치를 강조하는 새로운 숙박 서비스를 지칭하기 위해 국내에서는 최근 ‘파인 스테이(fine stay)’라는 용어가 사용되고 있다. 파인 스테이란 일반적인 호텔, 모텔, 펜션들과 달리 공간 구성이나 디자인 등의 요소와 이용자의 감성적 체험을 중심으로 하여 선별된 숙박 시설을 의미하며, 이는 숙박 큐레이션 플랫폼의 등장과 함께 2015년 정도부터 언론 기사 및 플랫폼들의 마케팅 문구에서 활용되기 시작하였다. 정확히 같은 지점을 의미하지 않을 수 있으나 유사한 느낌으로 ‘감성 숙소’라는 용어 역시 대중적으로 폭넓게 사용되고 있는데, 이 역시 동일하게 체험적, 감성적 가치를 중심으로 제공되는 숙박 시설을 뜻하며 공간의 디자인을 포함한 다양한 요소를 통해 특별한 경험을 부여하려는 특성을 지닌다.
학술적 관점에서 이러한 숙박시설의 등장과 증가 현상은 체험 및 감성 중심 소비와 연결하여 이해할 수 있을 것이다. 이와 관련하여 Schmitt(1999)는 소비자는 상품과 서비스를 단순히 기능적으로 소비하는 것이 아니라, 감각적・정서적 경험을 통해 의미를 부여한다고 설명한다. 즉, 제품 자체가 아니라 그것이 제공하는 경험과 감성이 소비자들의 선택의 핵심이라는 것이다. 이러한 가치들이 부각되기 시작한 2000년대 이후 꾸준히 리테일, 라이프스타일, 관광숙박 산업에서 체험 및 감성 중심의 상품개발이 이루어져 왔으며(Oh et al., 2007), 같은 맥락에서 파인 스테이 등 공간에서의 체험적이고 감성적인 경험을 강조한 숙박 시설들이 등장하게 된 것으로 이해 가능하다.
그러나 이러한 트렌드를 반영한 숙박시설에 대한 연구는 아직까지 활발히 이루어지고 있지는 못하다 (Chang, 2023; Park & Kim, 2024). 이 주제와 관련하여 국내 3곳의 스테이를 대상으로 현대인의 라이프스타일과 관련된 공간 특성(독립성, 심미성, 지역성 등)을 분석한 Chang(2023), 국내에서 독채 숙박 시설이 가장 많은 제주도의 최신 스테이 4곳을 대상으로 스토리텔링과 관련된 공간 특성(다감각성, 상징성, 장소성, 체험성)을 분석한 Choi et al.(2023), 포스트 팬데믹 시대의 치유 지향적 경향을 반영하여 5곳 스테이의 바이오필릭 디자인 요소를 분석한 Park and Kim(2024) 등이 최근 발표되어 숙박시설과 관련된 변화하는 트렌드를 반영하고 있지만, 이 연구들은 공통적으로 선정 이유가 명확하지 않은 소수의 스테이를 대상으로 하고 있으며 공간의 분석에 있어 전반적인 물리적 특성보다는 특정 주제에 제한된 내용을 다루고 있다는 한계를 가진다.
이에 본 연구는 현재 국내 숙박 플랫폼에서 실제 이용자들로부터 인기를 얻고 있는 스테이들을 대상으로 이들의 전반적인 공간 구성 특성 및 디자인 경향을 분석하고자 한다. 이를 통해 실무적으로는 이용자가 선호하는 디자인과 공간 특성을 파악하여 향후 스테이 등 숙박 공간의 기획 및 리모델링을 위한 자료를 제공할 수 있을 것이며, 학술적으로는 현대인들의 공간 선호와 숙박 문화와의 연관성을 논의하고 향후 연구에서 참고할 수 있는 분석의 틀을 제시하고자 한다.
II. 이론적 고찰
1. 현대 공간 소비 문화와 파인 스테이
파인 스테이 트렌드는 최신의 현상인만큼 이에 대한 구체적인 이론적 접근이나 학술 연구는 아직까지 찾아보기 어렵지만, 앞서 서론에서 언급한 바와 같이 이는 현대 사회에서의 전반적인 공간 소비/경험 문화와 밀접한 관련성이 있을 것으로 이해 가능하다.
현대 사회에서 소비는 단순히 효용 추구를 위한 활동이 아니라 사회적이고 문화적인 행위로서(Holbrook & Hirschman, 1982), 사람들은 소비를 통해 자신이 누구인지를 드러내게 된다. 이와 관련하여 Baudrillard(1998)는 소비가 단순한 경제적 행위가 아니라 언어와 같이 의미를 생산해내는 하나의 기호이며 인간이 자신을 표현하는 형식으로 기능한다고 주장하면서, 특히 현대 소비사회의 주요 특징으로 공간 역시 일정한 상징을 가진 상품으로써 소비된다고 설명한 바 있다. 흔히 ‘분위기의 소비(consumption of atmosphere)’로 이야기되는 이러한 현상은(Yoon, 2020) 오늘날 일상에서 쉽게 관찰할 수 있는 힙플레이스・핫플레이스에 대한 추구와 관심을 통해 이해 가능하다. 2010년대 이후 힙(hip)과 핫(hot)은 따라하고 싶은 소비 취향과 개성을 정의하는 형용사로 쓰여 왔으며, 이들이 장소(place)와 연결되어 힙플레이스와 핫플레이스라 불리고 있다(Joo, 2023). ‘다른 장소와 차별화된 독특성을 지닌 장소’인 핫플레이스(Byun, 2016)가 먼저 인기를 끌었으며, 최근에는 고유한 개성과 감각을 가지고 있으면서도 트렌디하다는 의미를 가진 힙(hip)이 떠오르면서 힙플레이스라는 단어의 사용이 크게 증가하였다(Kim & Um, 2019). 이들 즉 힙플레이스와 핫플레이스가 만들어내는 고유한 분위기는 현대 사회에서 하나의 기호가 되었으며, 현대인들에게는 주말과 여가 시간을 ‘어디에서’ 보냈는지가 자신의 취향과 안목을 보여주는 방식으로 작용한다(Yoon, 2020).
이러한 장소들은 단순히 비싸거나 고급스러운 공간이 아니라 감각적, 정서적으로 좋은 디자인을 가진 공간이라는 특징을 가진다. Yoon(2020)은 이 같은 현상을 감성이 중요해진 현대 사회에서 예술과 디자인의 섬세함이 소비자의 감성을 자극하는데 있어 매우 적합한 도구로 기능하기 때문이라고 설명한 바 있다. ‘어떻게 예쁜지 구체적으로 설명할 수는 없지만 대부분이 인지하는 예쁨이 있고, 그것이 무엇인지 정확하게 설명할 수는 없지만 감성이 있는’(Joo, 2023) 장소에 자연스럽게 사람들이 많은 관심을 가지게 되는 것이다. 주로 카페나 팝업 매장과 같은 도시의 공간들이 힙플레이스로 주목을 받으며 비일상적인 자극을 원하는 사람들의 욕망을 채워주었으며, 이러한 현상이 숙박 시설에 있어서도 반영되어 파인 스테이나 감성 숙소의 인기로 나타나고 있다고 이해된다.
특히 이러한 감성적이고 디자인적으로 우수한 장소를 찾고 소비하고자 하는 경향은 MZ 세대를 중심으로 강화되고 있다. 상품을 단순히 소유하기보다 경험을 중시하고, 미래보다는 현재를, 가격보다는 취향을 중시하며, 인터넷과 SNS와 매우 밀접한 디지털 네이티브라는 MZ세대의 특성은 이들이 여가를 보내는 방식에도 충실히 반영된다 (Jang et al., 2022). 이들은 무형의 여가경험을 SNS 등을 통해 보여주는 식으로 소비하며 이를 통해 자신의 지위, 취향, 부, 즉 정체성을 드러내는 과시적 여가소비의 경향을 보인다(Bronner & de Hoog, 2021). 이는 Bordieu(1984)가 설명한 바와 같이 예술과 문화에 대해 어떠한 취향을 가지고 있고, 여가를 어떻게 보내는지를 통해 자신이 남들과 다르다는 것을 드러내려는, 문화자본에 기반한 구별짓기(distinction)의 형태로 이해할 수 있다.
2. 숙박 큐레이션 플랫폼과 파인 스테이
숙박 플랫폼은 온라인 여행사(OTA, Online Travel Agency)에 속하며, 전 세계적으로 숙박 예약에 있어 직접 호텔 등을 예약하기보다 OTA를 이용하는 비중이 점점 높아지고 있다. 국내의 경우 2021년 전국 호텔들을 대상으로 한 설문조사에서 전체 숙박 예약 중 OTA를 통한 예약 비중이 62.5%로 나타났다는 결과가 있으며(Lee, 2021), 한국문화관광연구원은 국내 관광산업에서 OTA의 영향력이 코로나 팬데믹 이후 크게 확대되었다고 밝힌 바 있다(An & Han, 2024). 전 세계적으로 OTA 시장 대부분의 매출을 차지하고 있는 글로벌 OTA 기업에는 부킹홀딩스(Booking Holding, Inc), 익스피디아(Expedia Group), 에어비앤비(Airbnb), 트립닷컴(Trip.com Group)이 있고, 국내의 경우 야놀자(NOL)가 이러한 글로벌 기업들보다 더 많이 이용되어 시장 1위를 차지하고 있으며, 그 뒤를 국내 최대 포털 사이트로서의 인지도와 이용자를 바탕으로 온라인 여행시장에서 입지를 높이고 있는 네이버(네이버 여행상품), 여기어때가 따르고 있다(An & Han,2024).
그러나 이러한 대형 OTA 플랫폼들은 정제되지 않은 숙박업소를 중개한다는 점에서 감각적이고 정서적인 경험을 추구하는 소비자들에게 충분히 매력적인 플랫폼이 되기 어려운 지점이 존재한다. 이러한 맥락에서 등장한 것이 파인 스테이를 큐레이션하여 제공하는 플랫폼들로, 이들은 질적으로 만족스럽지 않은 숙소들을 소비자가 직접 골라내야 하는 대형 플랫폼들과 달리 엄선된 숙소들만 입점하여 있다는 점에서 정체성과 매력을 가진다. 이들의 등장은 정보가 과도하게 넘쳐나는 현대 사회에서 광고나 가짜 정보가 아닌 양질의 정보를 제공하는 것이 그 자체로 상당한 가치를 가지기에 숙박 뿐 아니라 식품, 패션, 뉴스 등 각 분야에서 큐레이션 플랫폼들이 크게 성장하고 있는 현상을 반영하기도 한다. 이러한 숙박 큐레이션 플랫폼들은 가격, 객실타입, 시설 정보와 같은 기본적인 내용 뿐 아니라 각 공간에 대한 설명을 매우 구체적으로 풀어서 전달한다는 특성을 가진다. 즉 스테이 공간에 담긴 특별한 이야기, 호스트나 건축주의 인터뷰 등이 플랫폼 웹/앱 상에 소개되는 식이다. 국내의 파인 스테이 플랫폼에는 스테이폴리오, 스테이그라운드, 파인스테이스 등이 존재하며, 이러한 숙박 큐레이션 플랫폼들은 그 특성상 입점 숙소의 수가 대형 플랫폼들에 비해 아주 적지만 문화적 영향력의 지표로 볼 수 있는 인스타그램 팔로워 수는 오히려 대형 플랫폼들을 앞서는 모습을 보인다.1)
III. 연구방법
1. 연구 조사 대상
본 연구는 국내의 숙박 큐레이션 플랫폼 중 우세한 위치를 선점하고 있는 스테이폴리오 플랫폼 상의 스테이들을 대상으로 하였다. 이러한 플랫폼에 연계되지 않은 개별 스테이들도 물론 존재하지만, 사람들에게 실제로 많이 이용되거나 혹은 많은 관심을 받는 공간들을 추출할 수 있다는 점에서 플랫폼 기반의 접근을 택하였다. 스테이폴리오는 2015년 창립되었으며, 건축학과 출신 창업자가 블로그에 좋은 숙소를 모아 리뷰 형식으로 소개했던 숙소 포트폴리오가 그 시초가 되었다 (Lim, 2021). 독채 숙소만을 파인 스테이로 정의하고 있지는 않아 일부 호텔과 호스텔을 중개 숙소에 포함하고 있으며, 최근에는 해외의 호텔 및 리조트 체인들이 입점하기도 하였다. 2025년 8월 기준 스테이폴리오에 입점한 숙소의 수는 총 655개이다.
본 연구의 대상은 스테이폴리오가 공식적으로 공개한 사용자의 실제 이용 및 관심 기준 상위권 스테이로 한정하였다. 스테이폴리오는 현재까지 4회에 걸쳐 시기별 베스트 스테이를 공개한 바 있는데, 2023년 상반기와 2024년 상반기에는 예약률을 기준으로, 2024년 하반기에는 인기 검색 기준으로, 2025년 상반기에는 가장 많은 북마크를 기준으로 하여 약 10곳씩의 스테이를 발표하였다. 이 중 중첩되는 곳을 제외하면 32곳이며, 추가적으로 나머지 스테이들과의 유의미한 비교가 어려운 2곳의 호텔, 1곳의 캠핑사이트를 제외한 29곳을 연구의 대상으로 선정하였다.
2. 자료의 수집과 분석
선정된 29개 스테이의 공간 특성과 디자인 경향을 분석하기 위한 자료에는 플랫폼에 공개되어 있는 스테이별 최소 22장 최대 193장의 실내외 이미지(스테이의 규모에 따라 차이 있음)와 도면, 동영상, 공간에 대한 텍스트 설명, 기타 건축주나 건축가 인터뷰, 그리고 정부 24에서 제공하는 건축물대장의 기본 정보가 포함되었다. 플랫폼 상에 스테이 공간에 대한 자료가 대부분 풍부하게 제공되어 있어 내용 분석에 어려움이 없었으나, 부가적인 자료가 필요한 경우 이용자의 블로그 리뷰 등에 공개되어 있는 사진과 동영상 등 인터넷 자료를 추가로 참고하였다.
분석 내용에 있어, 본 연구의 대상인 스테이 공간은 기본적으로 호텔과 같은 숙박시설에 속하나 동시에 단독주택의 형태로 디자인된 경우가 많다는 특성을 지닌다. 이에 기존의 호텔 등 숙박 공간을 분석한 연구들 외에도, 단독주택의 물리적 특성을 분석한 선행연구들에서 적용하고 있는 공간/디자인 분석의 틀을 참조하고자 하였다. 먼저 지난 22년간 발표된 호스피탈리티 산업에서의 물리적 환경 연구들을 체계적으로 검토하여 종합한 Nanu et al.(2024)에 의하면, 호텔의 물리적 환경 영역에서는 주로 환경적 조건, 공간배치, 색상, 가구, 조명, 디자인 스타일이 분석되고 있으며 코로나 19 팬데믹을 기점으로 바이오필릭 디자인 요소를 중심으로 환경을 분석한 연구들이 증가하였다. 국내 연구의 경우에도 마찬가지로 바이오필릭 디자인(Kang & Kim, 2023), 공간의 스토리텔링(Park, 2023) 등 현재의 디자인 경향에서 두드러진 특성을 중점으로 분석한 연구들이 등장하고 있으며, 동시에 디자인 스타일, 공간 구성, 색채, 재료(Song & Lee, 2012; Noh & Kim, 2015; Lee & Liu, 2020; Lim, 2020) 등 기본적인 요소들을 분석한 연구가 지속적으로 발표되었다. 단독주택의 경우, 국내에서 아파트가 보다 대중적인 주거의 유형으로 자리 잡으면서 2000년대 이후 이들의 물리적 특성에 대한 연구가 줄어들고 있으나 그럼에도 주택의 일반 건축특성, 외관의 형태(지붕의 볼륨 포함), 공간의 기능과 배치, 내외부 재료, 평면 형상 (Lee & Hur, 2012; Hwang, 2017; Yoo, 2021; Yoo, 2024)을 분석한 연구들이 꾸준히 발표되고 있다.
이러한 내용을 기반으로 본 연구에서 정립한 공간 및 디자인 분석의 틀은 다음과 같다:
1) 기본 개요 - 스테이의 위치, 외부 환경 맥락, 준공연도, 건축물 유형(구옥 리모델링/신축), 규모, 건폐율 등.
2) 공간적 특성 - 공간 배치, 매스 형태, 기능별 공간 구성.
3) 디자인적 특성 - 실내 마감 주재료, 색상, 디자인 스타일, 세부 디자인 요소.
29개의 스테이를 대상으로 이러한 분석의 범주에 따라 해당되는 내용을 코딩하고 반복적으로 재확인 및 수정하는 작업을 진행하였으며, 이후 각 범주별 분석을 실시하였다. 일부 분석 및 시각화는 R 프로그램(Ver 4.5.1)을 이용하여 수행하였다.
한편, 분석 요소 중 특별히 디자인 스타일과 관련해서는 보다 명확한 유형 분류 및 분석의 기준이 요구된다. 일반적으로 스타일은 여러 디자인 사례에서 반복적으로 나타나는 공통적인 시각적 특징(visual features)에서 도출되며(Chan, 1994), 디자인 사례들을 의미 있는 범주로 분류하는 데 있어 중요한 역할을 한다. 그러나 디자인 스타일은 절대적인 기준으로 판단되는 것이 아니며 공통되는 시각적 특징(형태, 패턴, 재료, 질감, 색상 등)의 수와 질, 즉 정도에 따라 식별된다(Kim & Lee, 2020). 따라서 특정 스타일의 인지와 판단은 문화, 시대, 지역, 개인적 요인등과 결부되어 상대적으로 해석될 수 있다.
이러한 주관적인 한계를 극복하기 위해 최근 딥러닝을 활용하여 공간 이미지의 디자인 스타일을 자동으로 분류하고 추론하는 연구들이 등장하여 고무적인 결과들을 보여준 바 있으나, 아직까지는 다양한 공간 구조에서 여러 유형의 스타일들을 안정적으로 인식하고 분류하지는 못하는 한계를 보이고 있다(Kim & Lee, 2020; Lee et al., 2024). 이에 본 연구에서는 스타일 분류 기준을 정립하여 이를 기반으로 연구자가 최대한 객관적으로 각 스테이 공간의 스타일 유형을 판단하고자 하였다. 이를 위해 선행 연구들에서 다뤄지고 있는 다양한 디자인 스타일 유형의 정의와 특성을 살펴본 후, 이 중 실제로 본 연구의 조사 대상 스테이들에서 반복적으로 나타나고 있는 특성을 가진 스타일들을 대상으로 각 스타일에 대한 설명 및 판별 특성을 정립하였으며 그 내용은 <Table 1>과 같다.
Table 1.
Classification Criteria of Design Styles
*Based on Kim and Lee, 2004; Kim, 2005; Baker, 2013; Oh, 2016; Ewald, 2017; Cheon and Jung, 2019; Hassanein, 2021
분석의 과정에 있어 각 스테이가 각각의 스타일에서 묘사된 특성을 명확하게 지니고 있는 경우 해당 스타일로 판별하였으며, 동시에 각 스테이는 그 디자인적 특성에 따라 단 하나의 스타일에만 해당될 수도 있으나 두 개 이상의 중첩되는 스타일을 가질 수도 있는 것으로 분석하였다. 이렇게 규정된 기준에 기반한 스타일 분석은 일관성과 재현 가능성을 최대한 유지하면서, 동시에 딥 러닝과 같은 분석 도구가 놓칠 수 있는 세부적이고 미묘한 특징을 유연하게 포착할 수 있을 것으로 생각된다. 또한 본 연구는 각 스테이별 스타일을 판별하는 것에서 그치는 것이 아니라, 스테이에서 나타나는 스타일의 조합 종류와 빈도를 분석하여 디자인 경향을 보다 구체적으로 파악하고자 하였다.
IV. 연구 결과
1. 기본 개요
연구 대상으로 선정된 29곳의 스테이의 위치를 파악한 결과, 제주도 제주시가 8곳, 서귀포시가 4곳으로 나타났으며, 그 다음으로는 강원도 춘천시 5곳, 강릉시 3곳, 삼척시 1곳, 원주시 1곳으로 나타났다. 그 외에는 전라도 전주시가 3곳, 서울시가 3곳, 그리고 경기도 양평시가 1곳으로, 국내에서 가장 인기 있는 여행지인 제주도와 강원도의 스테이들이 가장 많이 포함되었다.
외부 환경의 맥락과 관련해서는 중복 측정 시 산 주변에 스테이가 위치한 경우가 11곳으로 가장 많았으며, 그 외의 바다, 강변, 논밭 등 자연 주변에 있는 경우가 10곳으로 나타났다. 한편 작은 마을에 있거나(10곳), 도심부에 있는 경우(5곳)도 비중이 적지 않아 자연 환경과 다소 떨어져 있어도 다양한 활동의 가능성이나 스테이 자체의 매력이 작용하는 것으로 이해되었다.
건축물의 유형에 있어서는 구옥을 리모델링한 경우가 15곳, 신축 건물인 경우가 13곳으로 비중이 거의 유사하지만 기존에 존재했던 건물을 리모델링을 통해 스테이로 사용하고 있는 경우가 조금 더 많았다. 건물의 규모에 있어서는 1층 규모가 20곳, 2층 이상이 9곳으로 단층의 형태가 우세하게 많았다. 이 외에 각 스테이와 관련하여 건축면적, 준공년도, 건폐율 등의 기본 건축 정보를 정리한 내용은 <Table 2>와 같다.
Table 2.
Basic Overview of the Stays
2. 공간적 특성
1) 공간 배치와 매스 형태
스테이 공간의 배치에 있어서는 하나의 건물이 존재하는 단독형, 본채+별채형, 분산형, 건물의 한 층을 이용하는 유형, 그리고 하나의 건물을 여러 그룹이 이용하는 유형으로 분류하였다<Table 3>. 이러한 유형 분류는 스테이 건축물 자체의 형태를 기준으로 한 것이 아니라, 한 그룹의 사용자가 스테이 이용 시 실제로 머물게 되는 공간의 배치 형태를 기준으로 한다. 즉, 완전히 분리된 3채의 건물을 3그룹이 각각 이용하게 되는 경우는 단독형에, 한 그룹이 여러 채의 건물을 동시에 독립적으로 이용하게 되는 경우는 본채+별채형이나 분산형에 해당된다.
Table 3.
Spatial Layout Characteristics of the Stays
앞서 파인 스테이의 등장과 성장에 있어 코로나 팬데믹이 유의미한 영향을 미쳤으며 그로 인해 프라이버시가 확보되는 공간들이 주로 나타났다고 설명한 바와 동일하게, 본 연구의 대상 스테이들 또한 독립적인 공간 배치의 경향이 뚜렷하게 나타나고 있다. 72.4%의 스테이가 완전히 독립적으로 한 채 혹은 여러 채의 건물을 이용하는 형태였으며, 층을 나누어 이용하는 경우에 해당하는 3곳의 스테이 또한 각 층 전체를 사용하는 방식으로 독립성이 높았다. 마지막으로 2그룹이 한 건물을 나누어 쓰는 경우 역시 건물이 구조적으로 연결은 되어 있을지라도 동선적으로는 거의 완전히 분리된 형태를 보였다. 분석 대상에서 호텔 두 곳이 제외된 점을 고려하여도, 이와 같은 독립적인 공간 배치의 경향은 매우 뚜렷하다고 할 수 있다.
이어서 매스 형태의 경우, 이용자들이 가장 직관적으로 판단할 수 있는 지붕의 볼륨을 중심으로 하였을 때 네 가지의 유형으로 분류되었다<Table 4>. 첫 번째 유형은 박공지붕, 모임지붕, 팔작지붕 등을 포함한 경사지붕이 매스 전체를 덮고 있는 경우이며 62.1%의 스테이가 이 유형에 해당된다. 두 번째 유형은 매스가 분리 혹은 분절되어 있는 형태에서 일부는 경사지붕이, 일부는 평지붕이 복합적으로 사용된 형태이며, 세 번째 유형은 일자나 ㄱ자 형태의 단순한 매스에 평지붕이 덮인 형태, 마지막 네 번째 유형은 매스가 여러 볼륨으로 조합되면서 혼합 지붕을 갖는 형태이다. 첫 번째 유형을 제외한 나머지 세 유형의 비중은 10% 초반으로 유사하게 나타난다.
Table 4.
Building Massing Type of the Stays
2) 기능별 공간 구성
각 스테이에 어떠한 기능을 가진 공간들이 포함되었는지를 파악하여, 전체를 히트 맵(heat map)으로 나타낸 결과는 <Figure 1>과 같다. 히트 맵 셀의 색이 붉을수록 해당 공간의 개수가 많은 것을 의미하며, 주황색 셀은 해당 공간이 1개 존재하는 것을, 그리고 회색은 해당 공간이 존재하지 않는 것을 뜻한다.
분석의 결과, 규모와 상관없이 모든 스테이는 기본 공용공간인 거실, 식당, 부엌을 하나씩 갖추고 있었으며 침실과 화장실의 경우 규모에 따라 개수가 증가하는 모습을 보인다. 그 외의 실내 공간으로는 독서실, 다도공간, 음악라운지와 같은 특수한 목적의 실을 포함하거나, 스테이의 형태 및 구조에 따라 다락을 포함하고 있는 경우들이 존재하였다. 또한 실내외 자쿠지, 수영장과 같은 수 공간을 포함하고 있는 스테이가 절반 이상을 차지하였으며 이 중 일부는 하나의 스테이에 자쿠지와 수영장, 나아가 사우나 등을 모두 포함하고 있어 수영이나 목욕을 통해 이용자에게 휴식 기능을 부여하고자 하는 경향이 두드러졌다.
외부공간과 관련해서는 단독주택 형태의 스테이가 두드러지게 나타나는 만큼 상당수의 스테이들이(29곳 중 23곳, 79.3%) 마당(정원)을 가진 형태이며, 원주 도심의 2층 주택을 리모델링한 Case 17을 제외하고는 모든 스테이가 마당, 테라스, 중앙정원 중 최소 하나의 공간을 포함하고 있었다. 이러한 공간적 특징은 휴식과 쉼의 공간인 스테이들에 있어 자연과의 연결성을 강조하는 바이오필릭 디자인이 공통적인 특성으로 반영되고 있음을 보여준다.
3. 디자인적 특성
1) 주재료와 색상
어느 공간에 있어 그 공간에 사용된 재료와 그로 인한 질감, 그리고 색상은 전반적인 분위기를 결정하는 매우 중요하는 요소로 작용한다. 이에 연구 대상 스테이들의 실내 공간 마감 및 가구, 장식에 있어 주로 사용되고 있는 재료와 색상, 그리고 포인트로 사용된 색상을 각각의 스테이별로 정리한 내용은 <Table 5>와 같다.
Table 5.
Primary indoor materials and colors
먼저 가장 많이 사용되고 있는 재료는 목재로, 29곳 스테이 모두에서 천장, 벽면, 바닥 등의 마감을 위해 고르게 사용되고 있는 것을 관찰할 수 있었다. 그 다음으로 자주 사용되고 있는 재료는 타일로, 다른 공간의 벽면이나 바닥 마감에 사용되는 경우도 있지만 주로 부엌이나 화장실의 마감에 사용되어 2곳의 스테이를 제외한 27곳 스테이에서 사용되었다. 유리의 경우 단순히 일반 창문에 사용된 경우는 제외하고 디자인적 요소를 위해 사용한 경우에만 표기하였으며, 여기에는 반투명/불투명 유리 블록의 사용이나 천창, 유리 난간 등이 포함되며 21개의 스테이에서 이와 같은 활용을 볼 수 있었다. 그 외에도 금속, 석재, 거의 다듬어지지 않은 거친 형태의 돌 등이 빈번하게 사용된 재료에 속한다.
주로 사용된 색상과 관련하여서는 모든 스테이를 통틀어서 흰색(미색, 아이보리색 포함), 갈색, 회색의 사용이 매우 두드러져, 전체적으로 자연계열의 색상을 많이 사용하고 있는 것을 알 수 있다. 그 외에 8 곳의 스테이에서 차분하고 고요한 느낌을 강조하는 검정색을 주된 색상으로 이용하고 있었으며, 적갈색의 사용도 관찰되었다. 포인트 색상을 사용하고 있는 스테이는 7곳으로 녹색과 파랑색 계열이 가장 많이 사용되고 있었으며, 노랑색과 빨강색의 사용도 나타난다.
2) 디자인 스타일 특성
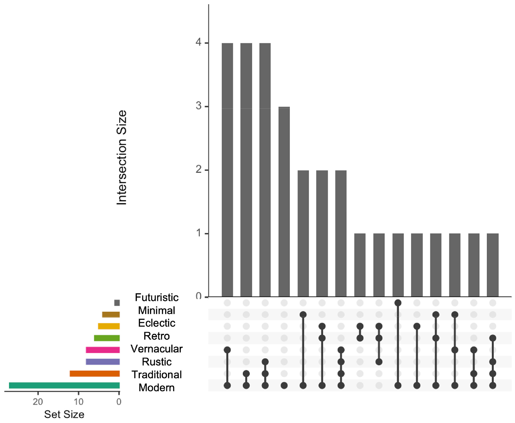
본 연구에서는 앞서 제시한 판별 기준에 따라 각 스테이를 하나 혹은 복수의 스타일로 분류한 후, 스타일별 사용 빈도와 스타일 조합(어떤 스타일들이 하나의 스테이에서 함께 나타나고 있는지)의 빈도를 분석하기 위해서 업셋 플랏(Upset Plot)분석을 실시하였다. 업셋 플랏은 복수 집합 간의 교집합을 시각적으로 표현하는 방법으로, 다수 집합의 관계를 직관적으로 이해하는데 있어 매우 효과적인 도구이다.
먼저 <Figure 2>의 왼쪽 아래 세트 막대는 각 스타일이 포함된 스테이의 수를 보여주는 것으로, 이를 통해 모던 스타일이 가장 높은 빈도(27곳)로 나타나고 그 뒤를 따라 한국 전통 스타일(12곳)과 러스틱 스타일(8곳), 토속적 스타일(8곳)이 자주 사용된 것을 알 수 있다. 그 외 미래적이거나(1곳) 미니멀한 스타일(4곳)이 적용된 스테이는 소수로 나타난다.
한편, <Figure 2> 오른쪽의 교집합(intersection) 막대는 스타일 조합별 스테이 수를 보여주는 것이다(점이 하나인 것은 한 종류의 스타일로만 분류된 것을 의미한다). 가장 많이 나타난 조합은 모던+전통 (4회), 모던+전통+러스틱 (4회), 모던+토속적 스타일(4회)로, 이러한 결과는 조사된 스테이 공간에서 현대적 디자인 요소와 한국 전통의 디자인 요소가 동시에 적용되는 경향이 높고, 전통적인 요소가 결합되지 않는 경우에는 지역(본 연구의 경우 주로 제주도)의 고유한 재료나 형태를 살려 현대적인 디자인을 하고 있음을 보여준다. 조금 더 구체적으로, 모던+전통, 혹은 모던+전통+러스틱 스타일이 조합된 경우는 크게 두 가지 유형으로 보여지는데, 첫 번째로 전통적인 디자인 요소들이 주를 이루는 경우 소위 ‘한옥 스테이’라 불리는 구축 한옥을 현대적인 느낌을 더해 리모델링한 케이스들이며<Figure 3a>, 나머지 하나는 모던한 디자인이 부각되는 신축 건물이지만 서까래나 대청마루 등의 한국 전통 디자인 요소를 나름대로 변형하여 공간에 담아낸 경우이다<Figure 3b>.
그 외에도 <Figure 2>에서 볼 수 있는 것처럼 각각 조합의 수는 적지만 모던 스타일 + 미니멀 스타일, 모던 스타일 + 레트로 스타일 + 절충적 스타일 등 2개나 3개, 혹은 4개까지의 스타일들이 다양하게 조합된 모습이 관찰되어 여러 유형과 디자인의 스테이들이 존재하고 있음을 파악할 수 있다.
3) 세부 디자인 요소
본 연구에서는 특정한 디자인 스타일의 특성으로 명확히 분류되는 요소 외에, 스테이 공간에서 적용되고 있는 보편적이면서도 다양한 디자인 기법들을 추가로 살펴보고자 하였다.
이러한 세부 디자인 요소의 분석을 위해 각 스테이에 적용된 다양한 디자인 요소들을 모두 정리하여 나열 후, 이들을 공통의 성격을 갖는 군으로 묶는 작업을 먼저 진행하였다. 그 결과 5개의 카테고리가 생성되었으며, 이는 1) 개구부 디자인의 강조와 변형, 2) 개방성을 강조하는 공간감 형성, 3) 곡선 형태의 활용 및 직선 형태와의 대비, 4) 경계를 정의하는 요소의 강조와 변형, 5) 아트피스 혹은 공예품의 활용이다. <Table 6>은 각 카테고리에 해당되는 예시 사례 이미지와 구체적인 요소를 정리한 것이다.
Table 6.
Categorization of design details in the Stays
구체적으로 다섯 개의 디자인 카테고리 중 가장 높은 적용 빈도를 보이는 유형은 개구부 디자인의 강조와 변형으로, 29곳의 스테이 중 24곳이 이에 해당되는 디자인 요소를 적용하고 있다.
천창, 통창, 비정형 형태의 창, 폴딩창 등 개구부의 디자인에 있어 강조와 변형을 추구한 이 같은 접근은 기본적인 공간의 요소를 활용하여 리듬감을 형성하고, 스테이 주변의 자연환경을 최대한 매력적이고 효과적으로 실내 공간으로 연결하려는 시도의 맥락에서 이해된다. 그 다음으로 자주 적용된(20곳) 카테고리는 경계를 정의하는 요소의 강조와 변형으로 여기에는 돌담, 나무 울타리, 다양한 재료의 난간이나 레일 등의 사용이 해당된다. 이러한 요소들은 스테이 공간의 내외부를 분리하여 시각적인 영역성을 형성하면서 동시에 다양한 재료의 질감을 부각시키고 있다. 그 외에 곡선 벽면, 원형 계단, 곡선이나 원형의 보이드 등을 더한 디자인이 11곳의 스테이에서 관찰되었는데, 이는 앞에서 확인한 바와 같이 모던 스타일의 우세로 인해 주로 직선적인 디자인이 주를 이루는 가운데, 공간의 포인트를 더하는 요소로 이해된다. 그 외에 높은 천고나 아트리움 형태, 보이드 등을 활용하여 공간의 개방성을 특별히 강조하거나, 아트피스나 공예품을 활용한 디자인적 접근도 각 4곳의 스테이에서 관찰되었다. 스테이별로 각 카테고리의 적용 여부를 정리한 내용은 <Table 7>과 같다.
Table 7.
Application of Design Categories by Stay
V. 결 론
본 연구는 공간 디자인과 감성적 체험을 강조하는 현재의 숙박 문화를 반영하여, 숙박 큐레이션 플랫폼인 스테이폴리오의 실제 사용자 이용 및 관심 기준 상위권 스테이 29곳의 공간 구성 특성 및 디자인 경향을 분석하였다. 그 결과를 요약 및 정리하면 다음과 같다.
첫 번째로 스테이들의 기본적인 특성과 관련하여 29곳 중 22곳이 제주도와 강원도에 위치하고 있었으며, 외부 환경의 맥락과 관련해서는 산이나 바다 등 자연환경 바로 근처에 위치한 비중이 높으나 이와 약간 떨어진 도심이나 마을에 위치한 경우도 다수 존재하였다. 건축물은 구옥을 리모델링하여 사용하는 경우와 신축인 경우가 거의 유사하게 나타나며, 규모는 단층(1층)의 형태가 69%로 우세하였다.
두 번째로 연구 대상 스테이의 공간적 특성과 관련하여, 한 그룹의 사용자가 스테이 이용 시 머물게 되는 공간을 기준으로 하였을 때 72.4%의 스테이가 완전히 독립적으로 한 채 혹은 여러 채의 건물을 이용하는 형태였으며, 하나의 건물을 공유하는 경우에도 최대한의 독립성이 보장되는 동선이 계획된 것을 알 수 있었다. 매스 형태의 경우, 경사지붕이 매스 전체를 덮고 있는 형태가 62.1%를 차지하여 관념적으로 받아들여지는 단독주택의 모양을 가진 비중이 높았다. 기능별 공간 구성에 있어서는 모든 스테이가 거실, 식당, 부엌을 기본 공용공간으로 갖추고 있었으며 실내외 자쿠지나 수영장과 같은 수 공간을 포함한 경우가 절반 이상이었다. 또한 79.3%의 스테이가 마당을 가지고 있었으며, 마당이 없는 경우에는 대부분 이를 대체하는 중앙정원이나 테라스 등을 포함하고 있다.
세 번째로 디자인적 특성과 관련하여, 실내 공간에서 가장 많이 사용되고 있는 재료는 목재, 타일, 유리이며 색상은 모든 스테이를 통틀어서 흰색, 갈색, 회색의 사용이 매우 두드러지는 것을 확인하였다. 연구 대상 스테이들의 디자인 스타일을 분석한 결과, 모던 스타일의 빈도가 가장 높았으며 한국 전통 스타일, 러스틱 스타일, 토속적 스타일이 그 뒤를 이었다. 이러한 스타일들의 조합에 있어서는 현대적 디자인 요소와 한국 전통 디자인 요소가 동시에 적용되는 경향이 높고, 혹은 지역의 고유한 특성을 살린 현대적인 디자인도 자주 관찰되었으나 그 외에도 다양한 스타일 조합들이 존재하였다. 그 외의 세부 디자인 요소에 있어서는 문과 창문 등 개구부 디자인의 강조와 변형, 돌담과 난간 등 경계를 정의하는 요소의 강조와 변형 등이 가장 빈번하게 나타났다.
이러한 결과를 바탕으로 하였을 때, 현재 사용자들의 이용률이 높거나 많은 관심을 받고 있는 스테이들은 기존 선행연구들에서 설명되었던 바와 같이 물리적으로 독립적인 성격이 매우 강하며, 스테이의 위치나 구조별로 정도의 차이가 있으나 마당이나 조망 등을 통한 자연환경과의 직간접적 연결이 뚜렷하다는 것을 알 수 있다. 이렇게 독립적이고 자연환경을 누릴 수 있는 형태의 스테이들의 증가와 인기는 코로나 팬데믹 이후 국내 뿐 아니라 국외에서도 관찰되는 현상이지만 (Zhang, 2025), 가구의 절반 이상이 아파트에 거주하는 한국의 경우 그 공간적 비일상성으로 인해 더욱 매력적인 숙박의 형태로 느껴질 수 있으리라 추측된다.
또한, 디자인 스타일에 있어 기존 한옥의 구조와 재료를 유지하여 역사적, 문화적 정체성을 강조하면서 현대적 편의성을 결합한 한옥 스테이가 두드러진 유형 중 하나로 나타나지만, 동시에 전통적 요소를 단순히 재현하기 보다는 현대적인 감각과 지역적 특색을 더욱 강조하는 가운데 전통적 디자인 요소들을 새로운 방식으로 차용한 스테이들이 하나의 트렌드로 등장하고 있음을 확인할 수 있었다. 스테이 공간에서의 이러한 디자인 융합의 시도들은 최근 몇 년간 국내 한옥에서의 국제적인 미술 전시나 이벤트 등이 크게 증가하고 있는 변화와도 맞물려, 내국인 뿐 아니라 세계 각국에서 한국을 찾는 여행자들에게도 매력적인 요인이 될 수 있으리라 생각된다.
추가적으로 본 연구의 전체적인 분석 결과를 바탕으로, 스테이별 공간적・디자인적 특성과 외부환경의 맥락을 고려하여 사용자 경험의 관점에서 성격적으로 유사한 그룹을 몇 가지로 구분해 볼 수 있다. 첫 번째는 앞서 언급한대로 기존 한옥의 전통을 최대한 반영하면서 편의성을 결합한 한옥형 독채 스테이로, 이들은 도심과 자연 등 다양한 환경에 위치하고 있다. 두 번째는 산, 바다 등 지역의 고유한 자연환경의 맥락 안에 놓여 토속적이면서도 현대적인 디자인이 부각되지만 동시에 전통적 디자인을 차용한 독채 스테이이다. 세 번째 유형은 자연환경과 가까워 그것을 끌어들이는 개방적인 구조와 현대적인 디자인 특성을 지닌 스테이들이며, 네 번째 유형은 도심에 위치한 미니멀한 디자인이 부각되는 스테이들로 이들은 모두 공간적 배치의 특성상 건물 전체가 아닌 한 층을 이용하는 형태라는 공통점을 가져, 다른 그룹과는 달리 독립성이나 자연과의 연결이 크게 관찰되지 않는다. 마지막 다섯 번째 유형은 연구 대상 스테이들에서 다소 드물게 레트로하거나 절충적인 디자인을 가진 독채 스테이들로 자연환경 근처나 작은 마을에 위치하고 있다. 다만 이러한 유형화는 앞서 다양한 분석의 결과를 사용자 경험 관점에서 이해하기 위한 보조적인 시도이며, 스테이들이 갖는 다양성과 혼합적 특성을 완전히 반영하지는 못한다.
본 연구는 새로운 숙박 공간 트렌드를 반영하여, 사용자들의 실제 이용 및 관심 정도가 높은 국내 파인 스테이들의 구체적 공간 및 디자인적 특성을 최초로 분석하였다는 의의를 가진다. 그러나 직접 현장 조사를 실시한 것은 아니기에 분석 자료에 있어 제한이 있고, 또한 실제 사용자의 입장에서 공간적 특성이나 디자인 특성과 관련한 만족도나 행동을 파악하지는 못했다는 한계가 있다.
본 연구의 대상이 된 파인 스테이들은 공간의 소비 및 경험의 중요성이 부각되고 있는 현대 사회에서 관련 공간 문화를 선도하는 하나의 축으로, 앞으로도 지속적으로 유의미한 연구 대상이 될 것으로 보인다. 이에 본 연구에서처럼 사용자 관점에서의 인기 스테이들을 대상으로 하는 연구 외에도, 다양한 가격대, 지역, 운영 형태 등에 따른 스테이로 그 범위와 수를 확장하여 공간에 대한 체계적인 분석이 가능하리라고 생각된다. 이 과정에서 많은 수의 스테이 공간들에 대한 디자인 경향 분석에 있어서는 앞서 언급한 딥 러닝 등 최신의 기술을 적용하는 방향도 바람직할 것이다. 또한 기존 호텔 등의 숙박 공간 연구에서처럼 사용자의 실제 경험을 직접 조사하거나, 플랫폼 상의 리뷰를 텍스트마이닝 등의 방법으로 분석하는 연구들을 파인 스테이 공간에도 적용하여 연구의 범위를 확장할 수 있을 것으로 생각된다.














































































