I. 서 론
1. 연구의 배경 및 목적
소득수준의 향상으로 삶의 질에 관한 관심이 높아지면서 근거리에 쉽게 통근 및 통학을 할 수 있는지, 인근에 인프라 시설이 있는지가 주거지를 선택의 기준이 되고 있다. 이러한 주거지의 선택과 교통의 발전으로 인하여 생활권의 범위는 행정 경계 내에 국한되는 것이 아닌 다른 시·군 등으로 확장되었다. 생활권은 통근·통학·쇼핑·여가·친교·업무·공공서비스 등 주민들의 일상적인 생활 활동이 이루어지는 공간 범위를 말하며, 생활권 계획은 생활권을 범위로 주민 요구와 지역 특성에 맞는 생활개선 과제를 발굴하고 해결하는 시민 눈높이 계획이다(Seoul, 2014).
위와 같이, 지역의 특성을 고려한 생활권의 설정은 국토정책부문에서 지속적으로 관심을 가지는 분야이다. 그 동안 국내에서의 생활권 설정은 주로 행정 경계에 기반한 주관적으로 이루어져 왔으며, 생활권에 기반한 토지이용 및 시설 입지 등에 대한 의사결정이 논리적으로 진행되지 못하였다(Gye, 2008). 도시기본계획에서의 생활권 계획은 인구 규모에 따라 시·군의 여건에 따라 위계를 기준으로 하여 행정편의상 획일적인 분구를 시도하였다. 이러한 이유로 인하여 통근, 통학 등을 타 도시에서 도시민의 실질적인 생활권역과 일치하지 않는 일이 발생하였다. 이를 해결하기 위하여 2000년대 이후, 광역도시권 및 광역경제권의 개념을 국내에 적용하여 추진하였으며, 이명박 정부에 들어서서는 초광역 개발권, 기초생활권, 5+2 생활권 등을 추진하며 행정구역을 넘어서는 광역적인 정책을 추진하였다. 이후 박근혜 정부에 들어서서는 2014년부터 2015년 1월까지 2~4개의 지방자치단체가 1개의 생활권을 구성하여 전국의 222개 시군이 63개 생활권을 구성한 지역행복생활권 정책을 시행하는 등 2000년대 이후 국내에서 생활권을 광역적으로 설정하는 정책을 꾸준하게 제시하였다.
UN의 ‘2018 세계 도시화 전망’에 따르면 2018년 1천만 명 이상의 도시가 33개에서 2033년 43개로, 500~1천만 명의 도시가 2018년 48개에서 2033년 66개로 늘어나면서 전 세계적으로 메가시티가 증가하는 추세를 보이고 있으며, 우리나라도 메가시티인 서울뿐만 아니라 경남, 부산, 울산을 하나의 메가시티로 보는 부·울·경 메가시티 정책을 진행 중이다. 부·울·경 메가시티는 수도권 집중화로 인한 양극화 해결 및 앞으로 메가시티가 늘어남에 따라, 세계적인 도시 경쟁력 제고를 위하여 생활·경제·문화·행정공동체를 형성하여 부산·울산·경남이 함께 생활하고 성장하는 초광역 단일 경제권 구축을 목표로 하고있다(Gyeongsangnamdo, 2021).
위와 같이 생활권은 시민들이 어떻게 움직이고 있는지에 대한 생활방식과 관련이 있으며, 우리나라에서도 역시 광역생활권에 대한 정책이 꾸준히 제시되고 있다. 이처럼, 생활방식에 따라 공간 범위를 파악하는 것이 생활권 파악에 현시점에서 중요한 지점이라고 볼 수 있다.
이에 따라, 본 연구는 직장인구의 일상적인 통행행태를 중심으로 실제 통행행태에 기반하여 생활권이 어떻게 설정이 되어있는지를 알아보고 과거 경상남도 지역행복생활권 계획과 분석한 통행에 기반한 실제 생활권을 상호 비교해보는 것을 목적으로 하고 있다. 본 연구는 경상남도, 전라남도, 부산광역시, 울산광역시, 대구광역시를 포함하는 경남권역을 대상으로 2019년 9월 23일부터 2019년 9월 29일까지의 데이터를 가공하여 활용하고자 한다. 이후 OD 데이터를 구축하고, 중심성 분석을 실시한 이후, 커뮤니티 분석을 통하여 생활권을 설정한 이후, 경상남도에서 기존에 설정된 생활권 계획과 비교하고자 한다.
II. 이론적 배경
1. 사회 네트워크 분석 및 중심성 분석
사회 네트워크 분석은 사람 간, 그룹 간, 조직간, 컴퓨터 간, URL, 기타 다른 정보 단위 간에 연결 관계나 흐름을 대응 및 측정하는 분석이다. 네트워크상에 사람이나 그룹 등의 단위는 노드라 하고 노드 간에 관계나 연결 방향 등을 링크라 하며, 사회연결망 분석은 인간관계에 대한 시각적이고 수학적인 분석 결과를 제시한다. 사회연결망 분석은 원자료를 단순화하지 않고 사용할 수 있어 실제 상호작용을 잘 반영할 수 있다는 장점이 있다.
중심성은 사회 네트워크에서 개인이 가지는 권력과 영향력이라는 개념으로 개발되었으며, 사회 네트워크의 분석 지표 중에서 가장 많이 사용하는 지표이다. 사회 네트워크에서 행위자인 노드의 중심성은 한 행위자가 전체 네트워크에서 중심에 위치하는 정도를 표현하는 지표로 정의할 수 있다. 이는 사회 네트워크에서 핵심 인물이 누구인지를 확인하는데 사용하는 분석 방법이다. 특히, 중심성 분석을 통하여 한 네트워크에서 중요한 역할을 하거나 주목받는 행위자가 누구인지, 각 행위자는 중심에 어느 정도 접근하고 있는지를 알 수 있다(Lee, 2006).
2. 생활권
생활권은 산업혁명 이후, 도시화가 급격하게 진행되었으며, 그로 인한 환경 및 위생 등에 관한 도시적인 문제가 발생하였다. 영국의 하워드(E. Howard)는 인구의 집중을 억제하기 위해 전원도시(Garden City) 개념을 도입, Lenchwarth, Welywn 등의 전원도시를 계획하여 대도시 주위의 전원도시 마을계획을 제시하였다. 이후 페리(C.A Perry)가 제안한 근린주구 이론을 제시하는 바탕이 되었으며 초등학교를 기준으로 반경 400m로 규정하고 주구경계는 간선도로로 이루어지게 하였으며, 공공시설, 상업시설 등을 배치하였다. 이후, 근린주구 이론은 영국의 뉴타운 개발의 기본단위로 사용되었다.
국어사전에서 정의하고 있는 생활권은 행정구역과 관계없이 통학이나 통근, 쇼핑, 오락 따위의 일상생활을 하느라고 활동하는 범위로서, 경제활동이 이루어지는 대권역(권역생활권)과 통근, 통학, 쇼핑, 여가 등 주민들의 일상적인 생활 활동이 이루어지는 소권역으로 나눌 수 있다고 정의하고 있다. 2030 서울시 생활권 계획에서는 생활권은 다양한 활동을 포함하여 반복적으로 일상생활이 이루어지는 범위로 정의하고 있으며 Oh(2014)는 이웃하는 생활권과 배타적이지도 않고, 명확한 경계선 긋기가 가능하지도 않은 유연하고 열린 공간이라고 정의하고 있다. 또한, 2013년에 박근혜 정부에서 지역행복생활권 정책을 시작하여 지방자치단체 간 협력을 통해 양질의 교육, 문화, 의료, 복지 등의 행정서비스를 제공할 생활권으로 정의하고 있으며 2~4개의 지방자치단체가 1개의 생활권을 구성하는 것으로 2014년부터 2015년 1월까지 전국의 222개 시군이 63개 생활권을 구성하였다.
1) 선행연구 고찰
선행연구를 살펴보면, 대부분의 선행연구에서는 생활권 설정을 하기 위하여 사회 네트워크 분석 및 중심성 분석, 커뮤니티 분석을 주로 사용하고 있다. 따라서, 사회 네트워크 분석 및 생활권에 관한 선행연구를 살펴보고자 한다. 먼저, 생활권에 관한 연구에서는 Jeong et al.(2014)의 연구가 대표적이다. 유동인구 자료를 활용하여 서울시의 ‘2030 서울플랜’에서의 공간구조 및 생활권 계획과 서울시 유동인구를 기준으로 생활권을 설정한 후 서울의 도시공간구조와 비교하여 특징을 분석하였다. 그 결과, 서울시의 ‘2030 서울플랜’의 7광역중심은 유동인구나 통근통학적 측면에서 현실과 다소 차이가 있음을 밝혀냈다.
Ha et al.(2016)는 통행 특성별 OD 자료와 Community Detection을 활용하여 실제 통행행태를 바탕으로 생활환경을 중심적으로 살펴보고 객관적인 생활권을 구축하였다. 그 결과, 서울시 내에서 파악한 생활권은 기존의 방식과 어느 정도 일치하며, 서울시의 경우 남양주 및 주변 일부 지역과 하나의 광역생활권을 형성하고 있는 것을 밝혀냈다.
Oh(2015)는 인천을 대상으로 하여 생활권 규모 설정을 실제 인구이동에 의한 도시활동의 범위를 도출함으로서 생활권 설정의 방법과 기준을 제시하였다. 그 결과 기준을 적용하여 인천의 생활권을 구분하였는데, 소생활권은 약 2~3개의 행정동, 중 생활권은 8개, 대생활권은 4개의 생활권으로 구분되는 것을 밝혀냈다. 생활권 계획과 비교해서 보면 대생활권만 차이가 나는데, 도시기본계획에서는 세력권을 적용하고, 연구 결과에서 나온 생활권은 인구이동에 의한 이용권을 적용하여 그 차이에 의한 결과로 결론을 내리고 있다.
Park et al.(2011)의 연구에서는 대구광역시를 범위로 생활권을 설정하고자 하였다. Arc Gis를 이용하여 생활권 면적은 최소 30㎢에서 100㎢으로 설정하고 인구수는 5천 명에서 5만 명으로 설정하고, 중심시설까지의 상대적 최단 시간 거리로 계산된 영향권으로서 생활권 범위로 설정하였다. 분석 결과, 생활권은 2005년 달성군 장기종합 발전계획에서 제시된 생활권과 차이가 있는 것으로 나타났으며, 대부분 지역에서 읍면 행정구역 경계가 일치하지 않는 것을 알아냈다.
Jo et al.(2021)은 충청권역을 중심으로 통행패턴에 기반을 둔 O/D 데이터를 구축하여 Community Detection을 적용하여 일상 생활권을 설정하고 기존 계획상의 생활권 설정과 비교하였다. 그 결과, 기존 계획상에는 읍면동 단위로 기초생활권을 형성하고 있어 모양과 크기가 획일적이며, 대생활권, 중 생활권, 소생활권을 기준으로 삼거나 주요 지역 간의 거리 또는 행정 경계와 같은 물리적인 요소를 기준으로 생활권을 계획하였으며 Community Detection을 적용한 생활권은 행정 경계가 기준이 아닌 주민들의 통행패턴을 기반으로 구축하였기 때문에 생활권의 모양과 크기가 획일적이지 않고 다양하며 주민들의 실제 통행패턴을 기반으로 생활권을 구축하였기 때문에 모양과 크기가 획일적이지 않고 다양한 생활권이 설정된 것을 알 수 있었다.
Jeong et al.(2014)는 부산, 울산, 경남을 공간적 범위로 국가 교통 DB를 대상으로 지역 간 연계성 및 생활권 설정을 위한 통행 유출률 및 영향도를 도출한 이후, 목적별 중심도시를 설정하고 해당 중심도시로의 유출률 정도에 따라 연계성 높은 지역도시를 분석하고 생활권을 설정하였다.
Kim et al.(2021)은 모바일 생활통행 데이터를 기반으로 도시의 인구 규모별 생활권을 분류하고 특성을 파악하였다. Community Detection 기법을 이용하여 모듈성에 기반한 Multi-level의 생활반경 분석 결과를 제시하였다. 또한, 공간별 특성 분석을 위하여 15분 생활권 개념을 도입하여 공간적 분화 패턴을 살펴보았으며 결과적으로 공간적 특성 분석 결과 대도시로 갈수록 생활권 간의 통행 반경이 감소하는 경향을 나타내는 것을 알아냈다.
Kim et al.(2020)은 휴대전화 빅데이터를 기반 기종정 통행량 자료를 활용하여 서울시의 생활권을 분석하였다. 서울시의 생활권과 비교해본 결과, 서울시의 3대 생활권과 7 소생활권이 서울 도시기본계획에 수립된 ‘3 도심 7 광역중심 12 지역중심’ 체계와 잘 맞음을 발견했다. 같은 생활권을 형성하는 도심권과 서북권 내 자치구들은 적극적으로 교류하여 교통, 복지 등의 문제를 공동으로 논의할 수 있으며, 또한 동남권도 현실적인 문제 해결을 위해서는 동남권을 두 지역으로 분리해 생각할 필요가 있다고 하였다.
2) 사회 네트워크 분석에 관한 선행연구
Jeong et al.(2019)는 전국의 전자산업을 대상으로 사회 네트워크 분석을 실시하여 전자산업에서 영향력이 큰 대표적인 20대 전자업체들을 선택하여, 이들의 각 클러스터의 매출에 미치는 영향력을 대기업과 중소기업으로 나누어 분석하였다.
Lee et al.(2017)은 전라남도, 광주광역시를 대상으로 인구이동 및 목적별 통행현황 파악하여 네트워크 구조변화 파악, 이후 사회네트워크 분석 방법을 사용하여 지역의 공간 구조 및 중심지를 분석하였다.
Lee et al.(2017)은 인구총조사 자료 전출입 인구이동자료를 이용하여 전국적인 인구 이동 자료를 활용하여, 시군 단위 및 광역시의 지역구 간의 세부적인 인구이동을 네트워크화 하고, 연결중심성을 분석하여 지역간의 연결 측면에서 인구유입 중심지역과 인구유출 중심지역을 파악하였다.
Kim et al.(2012)는 서울 대도시권을 가구통행실태조사 자료를 활용였으며, 연결망 분석을 이용하여 서울 대도시권의 연결망 구조를 1996년과 2006년에 대해서 중심성 개념으로 파악하고 1996년과 2006년 서울 대도시권의 연결망이 어떠한 공간구조의 특성을 보이는지 분석하였다.
3. 기존 연구의 한계와 본 연구의 차별성
본 논문은 선행연구와 다음과 같은 차별성을 가진다. 첫번째, 통근을 목적으로 경상남도의 인구의 활동영역을 알아내기 위하여 2019년 SKT 서비스 인구 데이터를 이용하여 구축하였다. 본 자료는 기지국을 기준으로 인구의 이동을 알아보았기 때문에 선행연구들보다 더욱 정확성을 가질 수 있다.
두 번째, 기존의 연구에서는 서울특별시 및 경기도, 혹은 세종시가 위치한 충청권을 중심으로 연구가 진행되어 왔다. 본 논문에서는 통행인구를 중심으로 중소도시 및 대도시를 포함하는 경상남도를 연구범위로 설정하여 경상남도 인구의 활동영역을 경남권역으로 설정하여 기존의 도 단위로 설정된 통근 인구를 기준으로 하여 지역 간의 연계성을 고려한 통근권을 도출하고자 한다.
마지막으로 경상남도에서 제시한 생활권 계획과 커뮤니티 분석을 통하여 도출된 연구 결과를 비교해보고자 한다. 생활권 계획과 분석을 통한 결과를 비교하여 통근권을 설정하고자 한다.
III. 연구 방법
1. 연구의 범위 및 방법
경상남도의 직장인구의 현황을 분석하고 시군 간의 이동 및 통근권의 설정을 위하여, 빅데이터를 전처리한 이후, O-D 매트릭스 행렬(Origin Destination Matrix Estimation)을 구축하고 분석을 진행하였다. 연구 대상은 SKT 생활 인구 데이터(거주인구, 직장인구, 방문인구) 중 직장인구를 대상으로 하였으며, 연구의 시간적 범위는 2019년 9월 23일부터 2019년 9월 29일까지 1주일간의 데이터를 사용하였다. 연구의 방법은 먼저 직장인구의 현황을 알아보고 O-D 매트릭스 행렬을 구축하였으며, Net miner 4.0을 이용하여 직장인구의 분포 및 이동 패턴을 파악하기 위하여 중심성 분석 및 커뮤니티 분석을 실시하여 통근권을 설정하였다.
이후, 경상남도에 설정된 지역 행복 생활권과 커뮤니티 분석을 통하여 나온 결과와 비교한 후, 결론을 도출하였다.
1) 경상남도 서비스 인구 데이터
SKT에서 제공하는 생활 인구 데이터 중 직장인구의 2019년 일주일간의 일평균 O-D 매트릭스 추이 행렬을 토대로 Net Miner 4.0을 이용하여 직장인구의 이동량을 네트워크화하고 직장인구의 시군별 유출 및 유입에 대한 연결 중심성, 근접 중심성, 위세 중심성을 확인하는 중심성 분석을 시행하였다. 먼저, 활동인구 빅데이터를 이용하여 데이터를 전처리하였다. 총 데이터의 개수는 25,496,474개이며 <Table 1>에 제시하였다. 본 자료는 SKT 서비스 인구 자료를 활용하였으며, SKT 서비스 인구는 SK텔레콤 기지국 데이터를 수집, 가공하여 인구수를 월별/성연령별/목적별(거주,직장 등) 로 집계하여 전체 인구 기준으로 환산한 자료이며, 거주인구/직장인구/유입인구 세 개의 필드가 존재하는데 그 중 직장인구의 필드를 이용하여 OD 데이터를 구축하였다. SKT 서비스 인구 데이터의 정의를 살펴보면, STD_YMD는 연월일을 나타내며 TIME은 1시간 단위 시간을 표기한 필드이다. SEX_AGE는 가입자의 성/연령을 표기한 필드이며 HCODE는 인구의 현위치를 행정동으로 산정한 필드이다. INFLOW_CD는 유입지로 가입자의 야간체류지역을 산정하여 거주지를 표기한 필드 여기서 야간 체류지역은 전월기준00시~06시까지 가장 많이 체류한 지역으로 정의하고 있다. H_POP은 거주인구로 HCODE와 INFLOW_CD가 같은 경우 주거지 인근에 있다고 판단하여 현재 주거지 인근에 있는 인구로 정의하고 있다. W_POP 은 직장인구로서 HCODE와 주간체류지역이 같은 경우 직장지역인근에 있다고 판단하여 현재 직장지역에있는 인구로 정의하고 있다. 여기서 주간체류인구는 전월 평일기준09시 ~ 18시까지 30%이상 체류한 행정동을 주간체류지역으로 정의 하였다. 마지막으로 V_POP은 방문인구로서, 주거지역과 직장 지역이 아닌 타 행정동에 있는 인구를 방문인구로 정의 하였다.
Table 1.
Service Population Data
| YMD | TIME | HCODE | SEX_AGE | INFLOW_CD | H_POP | W_POP | V_POP | |
|---|---|---|---|---|---|---|---|---|
| 5 | 20190923 | 0 | 4817041000 | m_6064 | 4817051500 | 0 | 0 | 2 |
| ··· | ··· | ··· | ··· | ··· | ··· | ··· | ··· | ··· |
| 25496474 | 20190929 | 23 | 4889036000 | m_0009 | 4889036000 | 32 | 0 | 0 |
본 연구에서는 직장인구를 대상으로 O-D 데이터를 구축하였다. 빅데이터를 전처리하여 하루동안의 직장인구의 출발지와 도착지로 나눈 OD 데이터를 <Table 2, 3>와 같이 나타냈다.
2) 중심성 분석
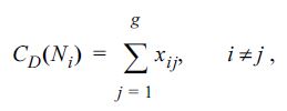
(1) 연결 중심성
연결 중심성은 네트워크의 노드들이 얼마나 많은 연결을 가지고 있는지 측정하는 방법이다. 연결중심성은 지역 중심성을 확인하는데 용의하지만 전체 중심성수준을 측정하기에는 어려움이 있다. 이 지수값이 높은 지역들은 다른 지역과의 지역적 접근성이 높고 인구의 이동이 높은 곳임을 나타낸다. 해당 식1)은 다음과 같다.
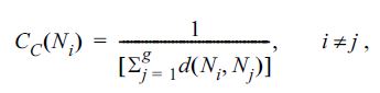
(2) 근접 중심성
근접 중심성은 중요한 노드일수록 다른 노드까지 도달하는 경로가 짧을 것이라는 가정을 기저에 두고 있는 분석이다. 근접 중심성이란 각 노드 간의 거리를 바탕으로 중심성을 측정하는 방식이다. 연결정도 중심성은 직접 연결된 노드의 개수만을 파악한다면, 근접 중심성은 간접적으로 연결되어 있는 모든 노드간의 거리를 바탕으로 중심성을 측정한다. 직접 연결되어 있는 사람들을 통해 접근할 수 있는 간접적인 노드 간의 관계까지 파악하며, 연결정도 중심성보다 넓은 범위에서 중심성을 측정하게 된다. 간접적인 중심성이 크다면, 핵심 노드와의 관계가 많다는 뜻으로 다수의 핵심 노드들과의 관계를 통해 해당 네트워크 내의 핵심 노드일 가능성이 높다. 해당 식1)은 다음과 같다.
(3) 위세중심성
위세 중심성은 보나시치 권력 중심성, 보나시치 중심성 지수, 고유벡터가 있으며, 연결 정도 중심성이 결점에 연결된 수를 중시한다면, 위세 중심성은 연결된 상대 결점의 연결 정도 중심성에 가중치를 부여한다. 강한 영향력을 지닌 단 하나의 결점과의 연결이 다른 여러 평범한 결점과 연결된 경우보다 자신의 영향력을 증가하며, 자신의 연결 정도 중심성으로부터 발생하는 영향력과 자신과 연결된 타 결점의 영향력을 합하여 위세 중심성을 결정한다. 해당 식1)은 다음과 같다.
2) 커뮤니티 분석
Community Detection 방법론은 네트워크 구조에서 상호 연계정도가 높은 결절점을 바탕으로 군집을 도출해내며, 일반적으로 모듈성(modularity)이 가장 높은 경우를 탐색하는 방식으로 작동한다. 여기서 모듈성은 네트워크 구조에서 분할된 커뮤니티의 특성을 의미하며, 커뮤니티 내 결절점 간 상호연계성(connectivity)은 높음과 동시에, 서로 다른 커뮤니티는 상호배타적인 특성(exclusivity)을 나타내는 하나의 척도이다 (Newman & Girvan, 2004; Han & Cho, 2012). 더 나아가, 모듈성은 0에서 1 사이의 값을 가지는데, 수치가 높을수록 커뮤니티의 구분이 명확함을 의미한다.
IV. 중심성 분석 및 커뮤니티분석
1. 경상남도 직장인구 분석
본 연구의 대상인 직장인구의 평균 이동량을 산출하였다. 이것을 토대로 O-D 매트릭스 행렬과 시군간 이동량을 및 유출 유입 중심성 분석을 시행하였다.
먼저, 전체 경상남도 전체 시군의 이동량은 <Table 4>에 제시하였다. 또한 경상남도 내 유출 유입을 <Figure 6>에 유선도로 제시하였다. 경상남도의 대부분은 시내에서의 이동이 높은편인데, 도내 이동보다 도외에서의 이동이 많았던 시군으로는 김해시와 양산시가 있다. 이들은 부산광역시 및 울산광역시와 가까운 시군으로서 김해시와 양산에서 부산으로의 통근과 부산에서 김해시, 양산시로의 통근이 높아 도내에서의 이동보다 도외에서 이동이 더 높게 나왔다. 또한 시내 이동보다 도외 이동이 높은 시군으로는 함안군, 고성군, 산청군, 의령군으로 나타났다. 함안군의 경우, 함안군으로 창원시, 창녕군, 의령군에서의 통근을 하는 것으로 나타났으며, 고성군의 경우, 창원시, 통영시, 사천시에서 골고루 통근을 하고 있는 것으로 나타났다. 산청군의 경우, 진주시에서의 통근을 하는 인구가 산청군 내 직장인구보다 많은 것으로 나타났다. 마지막으로 의령군의 경우, 창원시, 진주시, 함안군에서 통근을 하는 인구가 많은 것으로 나타났다.
1. 연결중심성 분석
중심성 분석에 대한 결과는 <Figure 7>과 <Figure 8>에 제시되어 있다. 연결정도 중심성은 네트워크의 노드들이 얼마나 많은 연결을 가지고 있는지를 알아보는 분석이다. 연결정도 중심성은 연결이 많을수록 더욱 큰 권력을 가진다는 생각에 근거하고 있다. 먼저, 유입에 대한 중심성이 가장 높은 지역으로는 창원시, 함안군, 김해시, 고성군순으로 나타났다. 외향중심성이 가장 높은 지역으로는 진주시, 창원시, 대구광역시, 함안군으로 나타났다. 내향 연결중심성이 가장 높은 지역들은 그 지역에 대하여 유입인구가 많다는 것을 의미한다. 내향중심성은 네트워크 내 각 노드가 다른 노드로 부터 받는 연결의 숫자를 의미한다. 본 연구에서는 다른 시군에서 각 시군으로의 이동을 의미하며 내향중심성지수가 높을수록 각 시군이 경상남도 내에서 얼마나 많은 유입을 보이고 있는지를 나타낸다고 볼 수 있다. 외향중심성은 각 노드가 다른 노드에게 주는 연결의 숫자를 의미한다. 본 연구에서는 각 시,군에서 다른 시,군으로의 유출을 의미하며 의미하며, 외향중심성지수가 높을수록 네트워크 내에서 영향력이 있다고 볼 수 있다.
2. 근접중심성
근접 중심성에 대한 결과는 <Figure 9>과 <Figure 10> 제시되어 있다. 근접 중심성은 네트워크의 다른 노드들과 얼마나 근접하게 연결되어있는 지를 알아보는 분석이며, 네트워크 전체 노드들을 대상으로 측정하여 전역 중심성의 지표로 볼 수 있다. 먼저, 내향 근접중심성이 가장 높은 지역으로는 함안군이 가장 높았으며, 그 다음으로는 창원시, 고성군, 진주시 순으로 높았다. 외향 중심성이 가장 높은 지역으로는 진주시가 가장 높았으며, 그 다음으로는 창원시, 부산광역시, 사천시, 김해시 함안군 순으로 높았다.
연결정도 중심성은 직접 연결된 노드의 개수만을 파악 한다면, 근접 중심성은 간접적으로 연결되어 있는 모든 노드간의 거리를 바탕으로 중심성을 측정한다. 직접 연결되어 있는 사람들을 통해 접근할 수 있는 간접적인 노드간의 관계까지 파악하며, 연결정도 중심성보다 넓은 범위에서 중심성을 측정하며, 간접적인 중심성이 크다면, 핵심 노드와의 관계가 많다는 뜻으로 다수의 핵심 노드들과의 관계를 통해 해당 네트워크 내의 핵심 노드일 가능성이 높다.
3. 위세중심성
위세 중심성에 대한 결과는 <Figure 11>과 <Figure 12>에 제시되어 있다. 위세 중심성은 개별 행위자의 중심성과 해당 행위자를 에고노드로 하고 에고노드와 연결된 이웃노드들의 중심성 지표를 함께 고려한 것이다. 한 노드의 영향력 또는 중요도를 측정하고 평가하는 데 사용하는 척도이다. 먼저, 내향 위세 중심성이 가장 높은 지역으로는 김해시가 가장 높았으며, 그 다음으로는 창원시, 양산시, 함안군 순으로 높았다. 외향 중심성이 가장 높은 지역으로는 부산광역시가 가장 높았으며, 그 다음으로는 창원시, 진주시, 김해시, 통영시 순으로 높았다.
위세중심성은 노드의 중심성을 이웃하고 있는 노드의 중심성으로 계산되며 개별 행위자의 중심성과 해당 노드와 연결된 다른 노드의 중심성 지표를 함께 고려한 것으로, 중심성이 높은 노드와 이웃할수록 그 위세중심성은 커지게 되며, 자신 영향력과 자신과 연결된 타인의 영향력을 합하여 결정한다.
위세중심성의 경우, 중심성이 높으면 도시의 위계구조가 높은 것으로 볼 수 있다. 따라서 내향중심성이 높은 김해시, 창원시, 양산시, 함안군은 유입에 대한 도시의 위계구조가 높다고 볼 수 있으며, 외향중심성이 높은 지역인 부산광역시, 창원시, 진주시, 김해시, 통영시는 유출에 대하여 자신의 영향력과 타인의 영향력을 합쳐 가장 높은 지역으로 볼 수 있다.
4. 직장인구 O-D에 의한 권역 구분
먼저, 경상남도 지역행복생활권의 구분을 그림에 제시하였다. 지역행복생활권 계획에서 설정한 생활권은 총 7개로 나누어져 있으며, 울산 및 부산을 제외한 광역시 및 시도는 포함되지 않았다. 직장인구 O-D 데이터를 이용하여 커뮤니티 분석을 한 결과는 <Figure 14>에 제시하였다. 군집분석은 개체의 속성이 유사한 것들끼리 클러스터링 해주는 방법으로 속성을 기반해서 사용하는 방법이며, 응집그룹 분석은 서로서로 연결이 되어 있어서 응집되어 있는 개체끼리 클러스터링 해주는 방법이며 관계를 기반으로 분석하는 방법이다. Best-cut이 높을 수록 노드의 클러스터 성능이 높으며 Best Cut은 4단계로 나눌 수 있는데 1.25 미만일 경우 BAD, 2.75 미만일 경우 Normal, 2.75 이상인 경우 good, 3.5 이상인 경우 excellent로 볼 수 있다(Mojena, R, 1977).
경상남도 지역행복생활권과 비교하여 실제 생활과정에서 발생하는 이동과 지역의 연계성을 반영하고 있는지 알아보기 위하여 O-D 데이터를 활용하여 통근권 범위를 파악해보았다. 통행 자료는 실제 시민들이 어떤 지역에 주로 움직이는지 파악할 수 있어 통근권 설정에 활용하기 적합한 자료이다. 분석에 앞서, 시군 지역간의 이동을 알아보기 위하여 지역내에서의 이동은 제외하였으며, 정규화하여 분석을 실시 하였다.
Table 4.
Centrality Analysis Results
| In-Degree Centrality | Out-Degree Centrality | In-Degree In-Closeness | Out-Closeness | In-Power Centrality | Out-Power Centrality | ||
|---|---|---|---|---|---|---|---|
| Modularity | 0.455566 | ||||||
연구결과는 <Figure 14>과 <Table 5>에 제시하였으며, 커뮤니티 분석에서는 G1부터 G6까지 총 6개의 통근권이 나타났다. Best Cut은 5.739로 커뮤니티가 잘 나누어 졌음을 확인할 수 있으며 또한 경상남도 지역행복생활권은 <Figure 13>에 제시하였다. 위의 분석과 함께 지역행복생활권을 비교해보면 지역행복생활권은 총 7개의 생활권으로 나왔으며, 커뮤니티분석에 의한 권역 구분의 결과 6개의 통근권으로 나타났다. 분석결과와 경상남도 행복생활권계획을 비교해보면 경상남도 지역행복생활권과 커뮤니티 분석결과와는 차이가 있는 것으로 나타났다. 특히 행복생활권에서는 부산중추도시권과 경남 동부중추도시권으로 나누어져서 생활권 계획이 되었으나, 분석결과에서는 하나의 통근권으로 설정되었으며, 또한 경남동북부권의 대부분의 행정구역이 G1으로 들어가있다. 이를 통하여 경상남도 지역행복생활권의 생활권 계획은 실제 인구이동을 고려한 통근권 설정과는 다소 차이가 있는 것으로 나타났다.
V. 결 론
도시기본계획에서의 생활권 계획은 공간 범위가 불확실하고 지역별 연계성 및 인구의 이동을 고려하지 못하는 한계점이 있었다. 따라서 본 연구에서는 직장인구의 통행행태를 중심으로 통근권을 설정하여 기존의 생활권과의 비교를 목적으로 하고 있다. 경상남도, 전라남도, 부산광역시, 울산광역시, 대구광역시를 포함하는 경남권역을 대상으로 2019년 9월 23일부터 2019년 9월 29일까지의 데이터를 가공하여 O-D 데이터를 구축하고, 중심성 분석 및 커뮤니티 분석을 통하여 통근권을 설정한 이후, 경상남도에서 기존에 설정된 생활권계획과 비교하였다. 경상남도 지역행복생활권에서 제시한 경상남도 생활권 계획과 비교해본 결과, 경상남도 지역행복생활권은 7개의 생활권을 가지고 있으며 분석결과에서는 6개의 통근권으로 구분되고 있다.
경상남도 지역행복생활권과 커뮤니티 분석을 통하여 나온 결과를 비교해본 결과 다음과 같은 시사점을 가진다.
첫째, 지역의 인구이동 및 지역의 특성을 따른 생활권 설정을 도시계획에 반영할 필요가 있다. 본 연구결과에서 나타났듯이, 비록 행복생활권은 이동시간, 주거비, 교통체계, 일자리 시설, 경제지표, 자연 경관, 인구 밀도 외에 교육, 문화, 공공, 복지시설 등과 밀접한 관련이 있지만, 실질적인 직장인구의 통행을 중심으로 통근권을 설정하였을 때는 기존의 생활권과 차이가 있음을 알아냈다. 생활권에서는 하나로 묶여있었던 생활권이 실제로는 다른 시,군과 묶여 직장인구의 통행이 나타났는데, 직장인구의 통행에서는 행복생활권과 맞지않는 부분이 있다. 따라서 본 연구결과에 도출된 생활권을 중심으로 각 지역에 일자리 산업을 유치해야한다. 행복생활권에서 경남동북부권으로는 합천군, 의령군, 창녕군, 밀양시가, 경남서북부권으로는 거창군, 함양군, 산청군, 합천군으로 설정되있던 생활권과 달리 통행패턴을 기반으로 통근권을 알아본 결과 분석결과에서는 대구광역시, 함양군, 거창군, 합천군이 G5 생활권으로, 서북부권이었던 의령군, 창녕군, 밀양시가 G1 생활권으로 설정이 되었다. 이를 통하여 실제 생활권과의 차이가 난다는 것을 알 수 있으며, 단순히 경상남도 내에 국한된 것이 아닌 도외에서의 행정경계를 넘나드는 생활권이 형성 되었다는 것을 알 수 있다. 경상남도 시군 내 혹은 시도의 경계를 벗어나는 직장인구의 생활권을 설정하기 위하서 도내의 행정경계에 제한되는 것이 아닌 실제 인구 이동이 반영된 생활권 설정이 도시계획에 제시되어야 한다.
둘째, 새로운 이론을 바탕으로 현 시대에 맞는 생활권을 설정하여야 한다. 이는 기존의 생활권에 따른 계층이론 및 크리스탈러의 중심지 이론처럼 하나의 생활권 이론이 현 시대에 교통이 발전되며 지역간의 이동이 용이해진 현 시점에서 적용하기에는 한계가 있다. 따라서 기존 이론뿐만 아니라 비물리적 요소, 물리적 요소를 하나로 통합한 실증적인 생활권 설정 방안이 필요하다. 이와 같이 생활권 계획에서 제시된 기준과 실제 인구이동에 기반한 결과는 차이가 있음을 확인하였다.
본 연구에서는 다음과 같은 한계점을 가지고 있다. 데이터가 일주일간의 이동만을 고려하여 1년간의 통행량을 고려하지 못한 한계점을 가지고 있다. 또한 생활권은 이동시간, 주거비, 교통체계, 일자리 시설, 경제지표, 자연경관, 인구 밀도 외에 교육, 문화, 공공, 복지시설 등과 밀접한 관련이 있지만, 본 연구에서는 통행패턴을 기준으로 유출과 유입을 기준으로 생활권을 파악하지 못한 한계점을 가지고 있다. 또한 생활권의 범위를 시군으로 설정하여 행정동을 기준으로 생활권을 OD데이터를 구축하여 세밀한 생활권을 설정하지 못한 한계점을 가지고 있으며 향후 경상남도를 포함한 중소도시에 대한 기초자료로서의 활용을 기대한다.

















